Szerző: Nagy Sándor
A termesztőberendezések név alatt olyan műszaki megoldásokat értünk, amelyekkel dísznövény, zöldség termesztés számára meghatározó klimatikus paraméterek:
értékének, valamint a növényállományt körülvevő levegő komponenseinek –a széndioxid (CO2) parciális nyomásának, azaz koncentrációjának– nagyságát szabályozni tudjuk. Természetesen a legtöbb ide tartozó kialakítás nem képes valamennyi, a fent felsorolt a klímát meghatározó paraméterre hatni, ill. azt kívánt értéken tartani. Ezért igen sokféle kialakítással találkozunk, széles e világban melyeket szintén termesztőberendezésnek neveznek. A fent felsorolt állapotjelzők (a páratartalom nem állapotjelző) közül, hogy mikor melyik fontos, ill. melynek a változtatása szükséges, azt az adott földrajzi hely klímája határozza meg. Ezért pl. hazánkban a belső ún. ti hőmérséklet biztosítása, míg mediterrán vidékeken, avagy még közelebb az egyenlítőhöz, inkább a megvilágítás erősségének a szabályozása (korlátozása) a legfontosabb feladat a gazdaságos termesztés megvalósításához. A fenti klímajellemzőkkel szabályozást lehetővé tevő műszaki kialakításokon kívül azonban más berendezésekkel is találkozhatunk. Egyes esetekben ezek használata a termesztés gazdaságosságát nagymértékben meghatározzák pl. hazánkban az energiaernyő alkalmazása. (12.1. ábra). A termesztőberendezésekben a klímajellemzőkkel kapcsolatban szükséges és célszerű, főleg az energetikai vizsgálódások megkezdése előtt e berendezések geometriai (szélesség, átlagos belmagasság és hosszúság) értékeit vizsgálni, meghatározni.
12.1. ábra Energiaernyő, nyitott állapotban
A nagyüzemi dísznövény-, vagy zöldségtermesztéshez a mettől nagyobb alapterületű, de mettől jobb hőszigetelő képességű, fényáteresztő anyaggal történő tér elhatárolása szükséges. Ez alapján szóba jöhető határoló anyagok:
Az ilyen egylégterű, de nagy alapterületű termesztőberendezések kialakításának kezdeti időszakában (a 60-as években) az üvegborítású hajókat, oldalsíkjaik mentén egymás mellé helyezték, és az egymás melletti hajók „közös” oldalsíkjának üvegezését elhagyva tömbösítették azokat. Az ezt megelőző időben –főleg palánták előállítása céljából– a melegágyak 0,8*1,2 m méretű ablakkereteiben használt 0,4 m széles, és 3,6 mm vastag ún. kertész üveg szélessége lett a módul, ill. ennek egész számú többszöröse a hajószélesség értékét behatárolta. Ezért a 3,2 m, majd a 6,4 m szélességű hajók tömbösítése (12.2. ábra) vált általánossá. Ez még nem határozta meg egyértelműen e házak gerinc (legfőképpen átlag bel-) magasságát, amely a tetősíkok vízszintessel bezárt majd 30 °C-os értéket figyelembe véve sem haladta meg a 3,2 ill. 4,5 métert. Ezen értéket egyértelműen a –tetősíkokról lefolyó víz gyűjtését, majd elvezetését biztosító– vápacsatornák 2,2-2,7 méter közötti magasságba helyezése eredményezte. Így az átlagbelmagassága e tömbösített házaknál 2,7-3,6 m közötti értékű.
12.2. ábra Tömbösített termesztőház
Figyelembe véve a levegő fajlagos hőkapcításának értéket, megállapíthatjuk, hogy sajnálatos módon az ilyen geometriájú kialakításnak kicsi a hőtehetetlensége. Ez pedig a termesztőberendezés léghőmérsékletének szabályozásakor az eredő szabályozási rés értékének, valamint a hőmérséklet ingadozási sáv amplitúdója nagyságának alakulására kedvezőtlenül hat (a növény szempontjából). Az uborka termesztése kapcsán ez be is igazolódott. Ezért kellett a hőtehetetlenség növelése érdekében az átlagbelmagasságot növelni. Ennek megvalósítása vagy a vápa- vagy a hajószélesség növelésével érhető el. Ezért kezdték a 70-es évek óta (sajnos) a hajószélességet növelni. Hazánkban a 12 méteres hajószélességből lettek jórészt a tömbösítések kialakítva, míg máshol 16, 18, 24 sőt 32 méter széles hajókat, ill. hajókból tömbösített termesztőberendezéseket is építettek. Dísznövény termesztéséhez –akár asztalon termesztésnél (pl. cserepes növények), akár talajon termesztésnél (pl. szegfű)– nem jelentkezett igény az elmúlt évtizedekben a nagyobb hajószélességű tömbösített üvegházakra. Igaz a dísznövénytermesztő-berendezések hazai teljes alapterületének nagysága majd nagyságrenddel kisebb, mint a zöldségtermesztésre használatosaké. A termesztők visszajelzései alapján megállapítható, hogy a dísznövény termesztéséhez a 3,2 vagy 6,4 méter hajószélességű, maximum 50 méter hosszú hajók tömbösítése tekinthető a legmegfelelőbb választásnak a termesztéstechnikai szempontok figyelembevétele alapján.
Zöldségtermesztésnél az elmúlt évtizedben komoly fajtaváltás következett be. A váltás kapcsán az olyan fajok iránt növekedett a kereslet, melyek termesztési, másnéven ciklusideje majd 11 hónapos, hiszen a tőlünk délebbre lévő mediterrán országok, az év jelentős részében kisebb –fűtési– energia ráfordítással képesek (folyamatosan kiváló minőségű) termesztőházi zöldséget előállítani. Ezért a hazai termékek csak abban az esetben termelhetők gazdaságosan piacképesen, amikor a nyári hőségek miatt ezen országokban befejeződik, ill. még nem kezdődik el az újabb kultúrák termőre fordulása. Így a korábban 5-6 hónapos termesztési ciklusú fajták helyett a 11 hónapos ciklusidejűek kerültek termesztésre. Ezen új fajták, majd dupla ideig való termesztésben tartása során, mint a zöldtömege, mint a hossznövekedése is majd megduplázódik. A meglévő házakban, ill. a vápamagasság átlagos értéke mellett, tekintve hogy a vápacsatornák alatt helyezhető el az a huzalrendszer, amely e növények „vezetését”, növekedésének irányítását biztosítja, ezért a hosszabb ciklusidejű növények nem „férnek el”. E változások hatására a 4,5 méter, sőt ma már az 5 méternél nagyobb vápamagasságú, akár 3,2 méter hajószélességű tömbösítések tekinthetők a legkorszerűbb zöldségtermesztőberendezéseknek.
Ezen túlmenően a termesztőberendezések, ill. a tömbösített hajók hossza újabb kérdéseket vethet fel. Műszakilag bármely hossz felvétele esetén megoldható a vápacsatornákba jutó csapadék biztonságos elvezetése. 100 méternél hosszabb hajóknál, viszont a víz elvezetése már jelentősebben drágább kialakítást igényel. Az alapterület növelése a hajóhossz növelését nem indokolhatja, mivel az egymás mellé kerülő hajók számát semmi sem korlátozza, amellyel bármekkora egylégterű termesztőtér kialakítható. Ezért nem találunk hazánkban 100 m-nél hosszabb hajókból tömbösített termesztőberendezést.
A termesztőházak optimális geometriai adatai így ma már az alapján is elkülönülnek, hogy zöldség-, avagy dísznövény-termesztés céljából létesítjük.
Tekintettel a hagyományos, közvetítő közeges, pl. melegvízfűtéses termesztő-, ill. üvegházakra, az egységnyi idő alatt távozó hőenergia (másnéven hőáram) értékét a határoló felületeken átvezetődő, valamint a burkolat folytonossági hiányain keresztül kialakuló ún. alaplégcsere révén „távozó” hőáramok meghatározásával és összegzésével számszerűsíthetjük.
ahol:
Ahat. - a termesztőberendezés határoló felülete [m2]
kvez - hőátbocsátási tényező [W·m-2·K-1]
Az összefüggésben szereplő külső belső hőmérséklet közötti különbséget, azaz (ti – te) értékét a termesztői gyakorlatban Δt-vel szokták jelölni. Az aktuális fűtőberendezés révén ennek tartósan fenntartható értéke alapján adott termesztőberendezés rendeltetése alapján beszélhetünk:
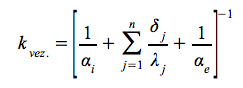
A termesztőház esetében Δt értéke min. 25 °C értékűnek kell lennie, ezért a maximális hőáram meghatározásakor ezzel az értékkel számolunk. Mivel a ház határoló felületének nagysága, annak geometriai paraméterei révén determinált, már csak a hőátbocsátási együttható konkrét értéke, ill. meghatározására szolgáló összefüggés szükséges, mely:
[W·m-2·K-1]
ahol:
αi – a belső,αe – a külső hőátadási tényező [W·m-2·K-1] míg a fényáteresztő határoló felület (szilárd fázisú) rétegszáma n, és a j-edik λj [m] vastagságú réteg hővezetési tényezője δj [W·m-1·K-1]
Amennyiben az n darab szilárd fázisú réteg között légnemű pl. δlev. vastagságú levegőréteg is van a
helyett –tekintve hogy nem csak vezetés alakul ki a levegőrétegben– az alábbi, regressziós összefüggést célszerű használni: 0,023·ln(δlev)+0,242. Ez alapján a hőátbocsátási tényező értéke:
[W·m-2·K-1]
A hazánkban előforduló 3 rétegű (fólia-levegő-fólia) burkolat adataival elvégezve a számításokat, (alapterület) négyzetméterenként: 80 < Qvez.<140 W a vezetéssel távozó hőáram értéktartománya. Míg hagyományos egy (4 mm-es üveg) rétegű határoló felületű kialakításnál ez akár 200 W négyzetméterenként.
[W]
ahol:
Vház - a termesztőberendezés légtérfogata [m3]
z- légcsereszám, megadja hogy óránként hányszor cserélődik ki a termesztő- berendezés levegője a külső levegővel [h-1]
cp - a levegő állandó nyomás melletti fajlagos hőkapacítása [Wh·kg-1·K-1]
r - a ti hőmérsékletű víz párolgáshőjének értéke [Wh·kg-1]
(xi – xe) - a belső-külső levegő abszolút nedvességtartalma közötti különbség [kgvízgőz/kgszárazlev.]
A fenti összefüggésben szereplő z légcsereszám pl. téli fűtési időben úgymond zárt termesztőberendezésnél is nagyobb nullánál (pedig energiafelhasználás alapján ez lenne a legkedvezőbb) mivel nincs teljesen, azaz légmentesen a külső térhez képest a belső termesztőtér elválasztva. Erre törekedni viszont nem lenne célszerű, mivel a növények a fényenergia elnyelésekor széndioxidot vesznek fel, hogy annak egy részét kémiai kötési energiává alakítsák át. A termesztőberendezés légterébe viszont a CO2 pótlása csak az által biztosított, hogy a külső nagyobb CO2 parciális nyomás hatására meginduló kiegyenlítődés révén folyamatosan a burkolat résein keresztül áramlik be széndioxid, míg részben a hőmérsékletkülönbségből adódó sűrűség különbség hatására a levegő. Figyelembe véve a burkolat anyagát markáns különbségek vannak az ún. alap légcsereszámban a különböző típusok esetén. Az üveg borítás esetén ennek értéke minimum 1,2 míg pl. -polietilén- fólia borításkor ennek majd fele 0,8-as érték az aktuális. Ez alapján korrekt kialakítású, karbantartott termesztőberendezéseknél a légcserével távozó hőáram értéke, ill. értéktartománya: 70<Qlég≤120 W négyzetméterenként.
A gyakorlati számításokkor, ill. tervezésekkor egyéb (pl. a talajban, mélyebb rétegek, avagy a talajvíz felé kialakuló) hőáramokat nem szoktak figyelembe venni, tekintettel nagyságrendjükre, valamint értéküknek időbeni alakulására. Így a fent taglalt két hőáram összege megadja a tervezéshez nélkülözhetetlen maximális hőáram értékét, ill. ennek –kialakítástól függő– értéktartományát:
150<Qösszes≤320 W négyzetméterenként!
Az előzőek figyelembevétele alapján a termesztök igényének megfelelő korszerű zöldségtermesztő berendezés esetén az alsó határérték közelébe eső 150 - 250 W, míg dísznövénytermesztéshez hagyományos (2,7 m vápa magasságú) üvegházat választva 250 - 320 W négyzetméterenkénti hőárammal számolhatunk.
A termesztőberendezésből távozó maximális hőáram értéke legfőképpen a fűtőrendszer tervezéséhez, méretezéséhez szükséges. Adott év, ill. termesztési ciklus alatti fűtéskor viszont 10-15 napnyi időtartamnál tartósabban nem aktuális az ilyen mértékű kifelé irányuló hőáramból származó energiaveszteség. Ezért fontosabb adott belső ti (pl. napi átlag) érték esetén a fűtési, ill. termesztési ciklus során szükséges összes –fűtéshez szükséges– energia várható értékének az ismerete.
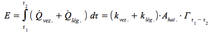
Adott –fűtési, vagy évnyi– időszak energiaszükséglete (E), a távozó hőáram adott időszakra vett határozott integráljával számszerűsíthető. Az integrál felírását kővetően, kiemelve az integráljel elé az időben nem változó (állandónak) vehető együtthatókat, az alábbi összefüggést kapjuk:
[Wh]
ahol:
klég. = a légcserével távozó energiaáramból a: klég=Qlég·[Ahat.·(ti-te)]-1 szerint számított hőszükségleti tényező [W·m-2·K-1]
τ1 = a fűtés kezdetének dátuma,
τ2 = a fűtés befejezésének dátuma
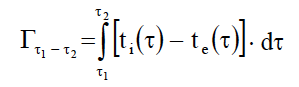
Γτ1 - τ2 = a (τ1 - τ2) idő alatt a hőfokhíd-összege, melynek értéke az alábbi határozott integrállal határozható meg:
[°C·h]
Az integrálban szereplő [te(τ)] a külső hőmérséklet időbeni alakulását leíró függvény. E függvény az év adott napjának adott időpillanatában aktuális külső hőmérséklet (több éves mérési adatok átlaga alapján várható) értékét számszerűsíti. Esetünkbe, a fűtési időszakra aktuális hőfokhíd összegének a számításakor ily mértékű pontosság nem szükséges, ill. nem áll arányba a számítás nehézségeivel. Ezért elegendő, ha a napi külső átlaghőmérséklet (te) éves alakulását leíró függvénnyel:
[°C]
számolunk. E függvénnyel, esetünkben a hőfokhíd összegének számítása már:

alapján, bármely τ1 naptól τ2 napig könnyen elvégezhető. Az összefüggésben szereplő 24, a nap időtartama órában azért került beírásra, mert az idő „egységként” a fenti (a számítást egyszerűsítő) indok alapján a „nap”-ot használjuk. Ezen indokolt egyszerűsítéssel függ össze, hogy a belső hőmérsékletigény időbeni alakulását leíró ti(τ) függvény helyett, a belső hőmérséklet napi átlagértékét (ti) a fűtési időszakra állandó értékűnek feltételezve lett az integrálás elvégezve. Ez persze nem zárja ki annak a lehetőségét, hogy a napi átlaghőmérséklet értéke ne változzon a termesztés során. Ekkor a fűtési időszakra számított belső hőmérséklet napi átlagértékeinek számtani középértékét kell a fenti összefüggésbe használni.
A fentiek szerinti konkrét számításokhoz a korábban már figyelembe vett, ill. megadott geometriai paraméterek, valamint a külső – belső hőmérséklet különbség hatására kialakuló hőáramok számítása során figyelembe vett hőtechnikai paramétereken kívül, a külső hőmérséklet napi átlagértékét meghatározó összefüggés („A”, „B” és „C”) együtthatóinak meghatározása is szükséges.
Ennek számszerűsítéséhez a vizsgált földrajzi hely több éves meteorológiai adatsorára kell illeszteni a fenti függvényt. Az illesztést néhány helyen mért meteorológiai adatokkal elvégezve a regressziós együtthatók értékei:
12.1. táblázat
|
A [˚C] |
B [˚C] |
C [nap] |
|
|
Budapest |
10,8 |
11,1 |
9,2 |
|
Kaposvár |
10,3 |
10,5 |
9,8 |
|
Kecskemét |
10,2 |
11,5 |
9,2 |
|
Miskolc |
9,5 |
11,7 |
9,3 |
|
Nagykanizsa |
10,2 |
10,7 |
9,3 |
|
Szeged |
11,2 |
11,5 |
10,1 |
A konkrét számítások, ill. energiaigény meghatározásához már csak a határozott integrál alsó és felső határainak, azaz a fűtés kezdő valamint befejező dátumának a felvétele szükséges. Ez számszakilag legegyszerűbben úgy kezelhető, hogy a fűtést akkor célszerű kezdeni, amikor a külső napi átlag hőmérséklet még egyező a belső –megvalósítandó– hőmérséklet értékével, míg a befejezése a fűtésnek akkor válik aktuálissá, amikor a kinti napi átlag hőmérséklet, már a megkíván belső hőmérséklet értékkel egyező. E kezdő, ill. befejező napok, a különböző belső hőmérsékletek esetén a korábbi mérési adatokra illesztet regressziós összefüggés segítségével meghatározhatók. Persze e közelítés hibája abban rejlik, hogy a külső hőmérséklet napi lefutásának figyelmen kívül hagyása miatt, nem veszi figyelembe azon éjszakai órákat, amikor a napi átlagértéktől alacsonyabb a külső hőmérséklet, és ezért 2-3, avagy ettől hosszabb időre működtetni kell még a fűtést. Ez a ciklus, ill. az éves fűtési energia igény értékének akár 5-6 %-os többletét jelentheti. A számítás ilyet finomítása azonban lényegesen megnöveli a regressziós számítás elvégzésének időigényét, miközben azon hiba nagysága nem csökken, hogy az egyes naptári évek tényleges külső léghőmérséklet napi átlagértékeinek éves lefutásainál, akár 25-30 %-nyi eltérések figyelhetők meg az elmúlt több mint 100 évnyi regisztrált adatsorok átlagához képest.
Például a fenti összefüggés alapján 20 °C-os belső átlaghőmérséklet fenntartásához Szeged határában olyan 1 ha alapterületű termesztőberendezésben, melynél a távozó maximális hőáram értéke 2,1 MW a szükséges energia értéke 7,25 GWh/év.
A termesztő-térből távozó hőáram „pótlása” fűtéssel történik. A fűtés lehet közvetlen, vagy közvetítő közeg által történő fűtés. A közvetlen (pl. villamos) fűtés csak kis teljesítményű (max. 10 kW-nyi), helyi (pl. dugvány gyökereztetést segítő talp-) fűtésnél célszerű a termesztőberendezésekben alkalmazni. A közvetítőközeges fűtésnél a közeg lehet légnemű (levegő) vagy folyékony (víz, avagy olaj) halmazállapotú. A közvetítő közeg nyitott vagy zárt körfolyam segítségével juttatja a hőenergiát annak előállítási (felszabadítási) helyétől pl. kazánból a felhasználás helyére. Miközben a közeg hőmérséklete (maximum 20 °C-nyit) csökken, vagy halmazállapot változik (lásd gőzfűtés). A légfűtés esetében nyitott körfolyamat valósul meg, mivel a termesztőtér levegőjét vagy tűz-lég típusú léghevítővel vagy hőcserélő segítségével melegítjük fel a kívánt mértékben. Tekintettel a levegő fajlagos hőkapacitásának alacsony értékére, e fűtési mód igen intenzív hőmérséklet növekedést eredményez, ezért nem elhanyagolható nagyságú keringtetési (általában villamos) energiát igényel. Ezen kívül ahhoz, hogy a növény számára a nyugvó levegőével egyező hőérzet alakuljon ki magasabb átlag-léghőmérséklet szükséges ezért (akár 10 %-kal) nagyobb az energia felhasználás. A levegő (általában a hajó hossztengelye menti) áramlása következtében kialakuló inhomogén hőmérséklet mező sem kedvez a növénytermesztésnek. Ezért ezt a fűtési módot ma már ritkán alkalmazzák.
A folyékony közvetítő közeges fűtés esetében, ha a közeg víz akkor annak állapotjelzői alapján lehet meleg- vagy forróvíz, valamint gőzfűtésű rendszerről beszélni. E fűtési rendszereknél a leadott hőáramon belül a konvektív, valamint a sugárzásos hőáram eltérő mértéket öltenek, míg a vezetéssel történő hőleadás mindegyiknél elhanyagolható nagyságú! A melegvíz-fűtésnél a legkisebb a hőleadókban keringtetett víz túlhőmérséklete a környezeti, ti hőmérsékletű levegőhöz képest. Ezért e fűtési módnál a legkisebb a sugárzási hányad. Leginkább ez használatos, mert ennél a legkisebb a veszélye a növények megperzselésének. Amennyiben a meleg víz kazánból kerül a hőleadőkba, a közegnek zárt folyamatban kell a hőenergiát a kazánból a fűtendő térbe juttatni. Itt a „zárt rendszer” összetétel hőtani értelembe értendő, azaz nem távozik és nem is kerül újabb folyékony halmazállapotú H2O a rendszerbe. Ez az oka annak, hogy nem kell folyamatos vízkőképződéssel számolni a kazánban. Mechanikai értelemben a rendszer „nyitott”, azaz nem alakulhat ki a rendszerben a külső –abszolút– nyomáshoz képest magasabb, azaz a külső térben lévőhöz képesti nagyobb (túl)nyomás. Amennyiben ez létrejönne, már a forróvíz-fűtésű rendszerről beszélhetnénk! A termálvízzel való fűtéskor viszont nyitott rendszert hozunk létre, mivel a hőmérsékletének csökkenését kővetően a víz a külső környezet felé távozik a hőleadókból. E nyitott körös fűtésnél viszont, ha jelentős a termálvíznek az oldott sótartalma (márpedig ez sajnos hazánk igen sok termálkútjából nyerhető vízáramánál fennáll) a víz hőmérsékletcsökkenésével (hűlésével arányosan) csökken az egységnyi térfogatban oldásban tartható só mennyisége. Ezért könnyen telitett, sőt időlegesen túltelítetté válhat a fűtővízáram, ami folyamatos sókiválást eredményez, ezzel csökkentve a hőátadás mértékét, valamint az áramlási keresztmetszetet a hőleadókban. A fűtéssel leadódó hőáram értékének időbeni fenntartása ilyen termálvizeknél csak hőcserélőknek a fűtőkörbe történő elhelyezésével, ill. nyitott termálvízzel működő primer körrel melegített zárt szekunder „fűtő” kör kialakításával lehetséges.
A különböző kultúráknál, ill. termesztőterekben immár akár 4 egymástól független –melegvíz– fűtőkört alakíthatnak ki, ill. használhatnak, ezek:
Légtérfűtés , ebben az esetben a meleg víz maximum 90 °C-osan lép be, és maximum 20 °C-ot lehűlve kerül vissza a –hőenergia felszabadító– kazánba. A hőleadó felületet sima (12.3. ábra), vagy –kereszt– bordás csövek (12.4. ábra), ill. csőkötegek képezik, melyek ún. felső kiosztás esetén lehetnek a vápa síkjában, vagy a vápákat tartó oszlopokon kb. 1 méter magasságba elhelyezve.
12.3. ábra Légtérfűtés simacső hőleadókkal
12.4. ábra Légtérfűtés bordáscső hőleadókkal
Hajtáscsúcsfűtés , e módszert csak zöldségtermesztésnél használják. A 2, vagy 3 hosszbordás –extrudált alumínium– (12.5. ábra) vagy normál fém, avagy polietilén csövek felfüggesztése lehetővé teszi a csövek magasságának állítását, azaz a csúcs függőleges menti „követését”. A csövekben keringtetett víz hőmérséklete a 30 °C-ot, valamint a csövekbe a be-, ill. kilépő víz közötti hőmérséklet csökkenés 3-4 °C-ot nem haladhatja meg. Ezért e fűtésnek a szükséges fűtő hőáramból elhanyagolható (1-2 %-nyi) a „részesedése”. Viszont ezen hőleadó felületek közelében 2-3 °C-al növekszik a légtér hőmérséklete, így ugyanakkora parciális vízgőznyomás kisebb relatív páratartalmat eredményez e térrészekben. Ez pedig nem kedvező a gombakártevőknek, ezért a hajtások gombakártevők elleni védelme céljából kezd már hazánkban is nagymértékben terjedni e „fűtés”-i mód. A sugárzásos hőáram révén pedig valamelyest, 1-2 °C-os mértékben a hajtások átlaghőmérséklete is növekszik, ami intenzívebb fejlődését okozza a kultúrának.
12.5. ábra Hajtáscsúcs fűtés
Vegetációs fűtés esetén, zöldségtermesztésnél akár talajon, akár a talajtól független technológiák alkalmazásakor, a talaj felszínén, ill. valamivel fölötte, általában talajból kiemelkedő tartókra helyezett 2,5’' vagy 3’'-os sima csövek a hőleadók (12.6. ábra). A csövekbe 40-42 °C-osan lép be, majd 5-6 °C-t hűlvén távozik a –fűtő– víz. E csövek zöldségtermesztés esetén a sorközben, akár a vápa magasságába történő, pl. paradicsom szedését is lehetővé tevő szedőkocsik (amelyek egyben a gyűjtést, és a sorból történő kiszállítást is lehetővé teszik) vezető pályája is lehet (12.7. ábra). Dísznövénytermesztéskor, asztalon (parapetten) termesztésnél, a parapetten elhelyezett, általában polietilén csövekben keringtetett 30-35 °C-os vizet vezetnek (12.8. ábra), mely 2-3 °C-ot hűlvén kerül a (kazánhoz) visszatérő, gyűjtővezetékbe.
12.6. ábra Vegetációs fűtés
12.7. ábra Vegetációs fűtés csővezetéke mint szedőkocsi pálya
12.8. ábra Vegetációs fűtés parapetten kialakítva
Talajfűtés : ezt a fűtési rendszert a talajba minimum 60 cm mélyen, egymástól a fektetetési mélységnél nem nagyobb távolságra lévő, a korróziónak jobban ellenálló polietilén csövek képezik. A csövekbe belépő víz hőmérséklete, 30-32 °C-nál melegebb tartósan nem lehet, tekintettel a növények gyökérzónájának a tápanyagfelvétel szempontjából optimális hőmérséklet értékére. A zöldségtermesztés kapcsán ma, a talaj nélküli technológiáknál hatása nem szignifikáns, ezért kialakítását már nem szorgalmazzák. A szükséges fűtő hőáramból a „részesedése” sem több 4-5 %-nál. Dísznövénytermesztésnél a termesztő asztalok alá helyezett, leginkább fém simacső-kötegek révén valósítják meg (12.9. ábra). Ezekben viszont, akár 55 °C-osan is beléphet a fűtővíz, mivel közvetve konvekcióval, és sugárzással melegítik, ill. „fűtik” a parapettet alulról.

12.9. ábra Talajfűtés parapettes termesztésnél
A fenti fűtőkörök segítségével nagyjából a növény számára (térbeni és időbeni) optimális hőmérséklet mező biztosítható, ill. a helyi relatív páratartalom értéke kismértékben csökkenthető. Az egyes fűtőkörök kapcsán megadott be, ill. kilépő fűtővíz hőmérsékletek alapján látható, hogy a fűtőkörök akár sorba kapcsolhatók. Ezzel lehet a legnagyobb hőmérséklet csökkenést elérni pl. termálvíz, vagy hulladék-hőenergia hasznosításakor. Az egyes hőleadó körök elhelyezésének minősítését teszi lehetővé azon szakmai megállapítás, hogy az elhelyezés akkor a legkedvezőbb, ha a növény a hőleadó hőáramába kerül. Ez alapján energetikailag, de a növény számára is a legkedvezőtlenebb a felső kiosztású légtérfűtés. A fent meghatározott (vezetéssel és légcserével távozó) hőáramokat sajnos nem lehet csak légtérfűtés nélküli fűtési megoldásokkal biztosítani. A legkorszerűbb zöldségtermesztőházakban is pl. a maximális (2,1 W/m2) hőáramnak közel 70 %-át lehet csak vegetációs fűtéssel biztosítani.
Adott fűtőkörbe a –fűtő– víz mozgatása vagy természetes-, vagy kényszeráramlással történhet. A természetes áramlás esetén a hőleadó rendszerben lévő eltérő hőmérsékletű folyadék részek sűrűségkülönbsége, valamint azok szintkülönbsége révén kialakuló () nyomáskülönbség hatására alakul ki a folyadék áramlása. Sajnos a termesztőházaknál viszonylag csekély, néhány méternyi szintkülönbség mellet a viszonylag hosszú fűtővezetékeket figyelembe véve megállapítható hogy a kialakuló folyadékáramlási sebesség érteke nem elegendő a szükséges hőenergia-áram fenntartásához. Ezért a legtöbb esetben keringtető szivattyú beépítésével kényszeráramlással biztosítják a fűtővíz keringtetését. A keringtető (általában radiál) szivattyú, vagy a kazánokból kilépő max. 90 °C-os víz befogadását, majd a fűtőkörök felé történő leosztását ellátó berendezés, az ún. osztó után kerül a fűtőkörbe beépítésre, vagy a hőleadók után (mielőtt a csökkent hőmérsékletű vízáram a gyűjtőbe kerülne) helyezik el. Az első esetben nyomott, a másodikban pedig szívott rendszerről beszélünk. A szivattyú üzemi hőmérséklete ekkor 70 °C-ál nem magasabb, ami pl. a csepegési veszteség szempontjából is kedvező. Viszont az ún. WILO szivattyúk (amelyeknél egy öntvényházba helyezik el a járókereket + szivattyú csigaházat, valamint a járókerék forgását eredményező –műgyantával kiöntött– álló- és forgórész tekercs rendszerét, ezáltal megszüntetve a lehetséges csepegést) elterjedésével már a biztonságos üzemeltetés szempontjából kedvezőbb nyomot rendszer valósítható meg.
Az utóbbi időkben egyre fontosabb az energiatakarékosság, ezért szükséges foglalkozni a mindenkori fűtési igényekhez igazodó hőmérsékletszabályozás megvalósításának lehetőségeivel. Az adott (ti) belső hőmérséklet fenntartásának (változó külső, aktuális hőmérséklet értéke mellett) egyik lehetősége a 90 °C-os előremenő meleg víznek időlegesen a hőleadókba való juttatásával érhető el. Ezt teszi lehetővé az ún. kétjáratú szabályozó szelep. Ez esetben sajnos eléggé széles lesz a belső hőmérséklet ingadozási sávja, azaz annak amplitúdója akár 3-5 °C közötti értéket is felvehet. Míg a másik lehetőség, a külső hőmérséklet függvényében –az alábbi összefüggés révén számszerűsíthető– 80 és 20 °C közötti átlaghőmérsékletű vízárammal biztosítjuk folyamatosan a szükséges hőáramot.

ahol:
khőleadó – a hőledó hőátadási tényezője [Wm-2K-1]
Afűtő – a hőleadó felülete [m2]
tfűtő=(tbe-tki) a hőleadókba belépő (tbe hőmérsékletű) és onnan kilépő (tki hőmérsékletű) vízáram átlaghőmérséklete [°C]
A tbe hőmérsékletű vízáram a három-, valamint a négyjáratú keverőszeleppel biztosítható. E szelepekben a kazánból érkező vízáramhoz a hőleadókból a kazánba visszacirkuláló vízáram egy része hozzákeverődik. A keverési arány beállításával (90 és ti között) bármilyen hőmérsékletű fűtő vízáram létrehozható. A három- vagy négyjáratú keverőszelep beépítésével akár harmadára csökkenthető az ingadozási sáv amplitúdójának értéke, ami a növénytermesztés számára kedvező. A háromjáratúhoz (12.10. ábra) képest a négyjáratú keverőszelep alkalmazása csökkenti a kazánt érő hirtelen nagy hőmérsékletváltozású vízáram kialakulását. Ezzel esetleg a forró kazánelemeket érő hideg víz okozta kazánrepedést lehet elkerülni, valamint a kénkorrózió veszélye csökkenthető.
12.10. ábra Háromjáratú keverőszelep
A termesztőberendezés energia mérlegegyenlete, jó közelítéssel:
![]()
ahol:
ηk.á. - a külső árnyékolón átjutó fényáramnak az árnyékolóra eső fényárammal vett hányadosa, ha nincs ilyen kialakítás értéke: 1
qNAP - a vízszintes talajfelszínre eső fajlagos Nap sugárzás intenzitása [W·m-2]
ηát - a termesztőberendezést határoló burkolat fényáteresztésének mértéke
Aalap - a termesztőberendezésének alapterülete [m2]
Ennek az egyenletnek a segítségével meghatározható a termesztőberendezésben –fűtés nélküli– aktuális belső (ti) hőmérséklet értéke. Ennek értéke a napsugárzás intenzitásának növekedésével arányosan növekszik. Figyelembe véve, hogy a napsugárzás értéke hazánkban négyzetméterenként akár 650 wattot is elérheti, ekkor a belső hőmérséklet akár 50 °C-nál magasabb is lehet. Ekkor a növény nem fotoszintetizál, hanem próbálja ezen (jórészt a tömegében) elnyelődő energiaáramot a környezet felé –pl. párologtatással– leadni. Az intenzív párolgáshoz szükséges vízáramot sajnos a növény edénynyalábjai nem képesek biztosítani. A növény sejtjeiben a turgornyomás csökkenésével kedvezőtlen folyamatok zajlanak le ekkor. Ezért kell feltétlenül csökkenteni a növény körüli, ún. belső léghőmérsékletet. Erre a fenti összefüggés szerint több lehetőség kínálkozik.
Ez a módszer többféleképpen is megvalósíthat. Az ún. árnyékoló felület (kialakítás) lehet a termesztőberendezésen kívül (ezt nevezik külsőnek, lásd 12.11. ábra), ill. belül, azaz belső árnyékoló. Ezen kívül lehet egy harmadik, köztes megoldás is, amikor a termesztőberendezés burkolóanyagának ( értékű) fényáteresztő képességét tudatosan csökkentik, rontják. Ezt nevezik satírozásnak. Szinte e berendezések kialakulása óta alkalmazott legegyszerűbb módszer, hogy bekoszolták a burkolatot pl. esőzést követően agyagport szórva annak külső felületére. Természetesen erre már van nagyüzemi megoldás is, megfelelő összetételű folyadékot lehet permetezni a burkolat külső felületére (12.12. ábra), amelyet ősszel az ún. oldó folyadék kipermetezésével távolítanak el. Külső árnyékoló léte, ill. használata, valamint a satírozás hatása a fenti összefüggés szerint kihat a belső hőmérsékletre. A belső árnyékolót (12.13. ábra) jellemző, annak árnyékolási mértékét számszerűsítő tényező nem szerepel az összegfüggésbe tekintettel arra, hogy a belső árnyékolót érő fényáram azon része, amely visszaverődve jórész a burkolatón keresztül távozhatna, szinte elhanyagolható nagyságú, míg az árnyékoló anyagába elnyelő rész hőenergiává válik. Az elnyelődő fényáram hatására felmelegedő közeg azonban olyan elektromágneses hullámhossz tartományba (Wien- eltolódási törvény szerint) sugároz, mellyel szemben az üveg teljesen, de a legtöbb polimer származék is jórészt átlátszatlan. Ezt a jelenséget nevezzük üvegházhatásnak!
12.11. ábra Külső árnyékoló
12.12. ábra A burkolat satírozása
12.13. ábra Belső árnyékoló
Ekkor a termesztőberendezés ún. alap-légcsereszámának (z) a növelésével csökkenthető a belső léghőmérséklet értéke. A szellőztetéskor aktuális légcsereszám meghatározásához ismernünk kell a termesztőberendezésben kialakuló légáram (óránként bejutó légtérfogat) étékét. Annak alapján, hogy e légáram a berendezés kialakítása valamint a külső-belső levegő (hőmérsékletkülönbséggel arányos) sűrűségkülönbség hatására jön létre, beszélünk természetes, míg légszállító (pl. ventilátor) révén fenntartott légcsere kapcsán kényszerszellőztetésről.
Természetes szellőztetés
E szellőztetési módnál a termesztőberendezésen nyitott, ún. szellőzőfelületek (Aszell.) egy részén időegység alatt adott térfogatú levegő áramlik be, míg a fennmaradó részéken ugyanekkora légáram távozik. Az áramló levegő átlagsebességét részben az határozza meg, hogy mekkora a külső és belső levegő hőmérséklete közötti különbségből adódó sűrűségkülönbség:
ahol:
ρe - a külső levegő sűrűsége [kg·m-3]
β - a levegő köbös hőtágulási együtthatója, jó közelítéssel: 273-1 K-1
A termesztőberendezés burkolatán lévő szellőzőfelületeken be- ill. kilépő levegőáram áramlási keresztmetszeteinek tömegközéppontja közötti szintkülönbség (Δh) és a fentiek szerinti sűrűségkülönbség miatt alakul ki a:
![]()
értékű nyomáskülönbség a nehézségi gyorsulás (értéke: 9,812 ms-2) hatására. E nyomáskülönbségből adódóan, valamint a be- és kiáramló levegő térbeli elhelyezkedéséből következően, annak nyomási energiatartalma is változik. Ezért Bernoulli-egyenlete szerint (adott magasságban, szintben vizsgálva) a nyomási energia átalakul mozgási energiává. Ez alapján az összefüggést felírva majd átrendezve a levegő átlagsebessége:

ahol:
μ - a burkolaton nyitott –szellőző– felületek szűkítési tényezőinek –súlyozott– átlagértéke
A fentiek alapján már meghatározható az így kialakuló légcsereszám értéke, mivel óránként a termesztőberendezésbe be- ill. ki-áramló levegő térfogatárama:

A fenti összefüggés felírásakor a szellőzőfelületek kialakításával kapcsolatban azt az ideális esetet vettük alapul, amikor a felületek 50 %-án keresztül be, míg a másik 50 %-án keresztül kiáramlik a levegő. Amennyiben a megvalósított kialakításnál ettől lényeges eltérő viszonyok vannak, akkor –közvetve– a szűkítési tényező ékének csökkentésével lehet ezt a számításnál figyelembe venni. A –szellőző– légáram ismeretében a légcsereszám:
[h-1]
Az így meghatározott légcsereszám segítségével már a főfejezet elején felírt energia mérlegegyenlettel az aktuális belső léghőmérséklet értéke meghatározható. A termesztőberendezéseken nyitható adott értékű szellőzőfelület, a fenti összefüggések alapján akkor eredményez nagyobb légcsereszámot, azaz légcserét, ha a be- és kilépő levegőáram között mettől nagyobb a szintkülönbség. Ezért célszerű a szellőzőfelületeket két csoportba sorolva tárgyalni, ill. vizsgálni. A belépő levegő számára szolgálnak az ún. alsó szellőzőfelületek, melyek kialakíthatók az:
felületeken.
12.14. ábra Orom szellőző kialakítás
12.15. ábra Oldal szellőző kialakítás
A távozó légáram részére pedig ún. felső –nyitható– felületként a:
szellőztető kialakításokat különböztetünk meg.
12.16. ábra Tető szellőző kialakítás
12.17. ábra Akna szellőző kialakítás
12.18. ábra Kémény szellőző kialakítás
Az alsó szellőző kialakítások előzőek szerinti megkülönböztetése, csupán a berendezés egyes részeinek elnevezése alapján lehet indokolt. Ezzel ellentétben a felső szellőző kialakítások ilyet szempontok szerinti differenciálásának már van jelentősége a légcsereszámra való hatásuk miatt. Ha megvizsgáljuk az egyes kialakításokat, akkor azt figyelhetjük meg, hogy a tető szellőzők számtalan gyakorlati megoldásaival maximum a gerinc magasságáig lehet emelni a nyitható –szellőző– felület keresztmetszete középpontjának helyét. Míg az aknaszellőző esetében, a nyitás kezdetén (tekintve hogy a két tetősík vízszinteshez képest 90°-os, azaz függőleges, határhelyzetbe juttatásáig bármely köztes szögbe állítható), már a nyitott –szellőző– felület keresztmetszetének középpontja magasabban van, mint a gerincmagasság. Ez még –jó közelítéssel– növekedhet a függőlegesbe állított tetősíkok felső éleinek magasságáig. A kéményszellőző kialakításánál pedig a kéményzáró „fedelének” a kémény felső éléhez való megemelésének felével növelt zárt kéménymagasság értéke aktuális, mint kilépő légáram keresztmetszete középpontjának magasság értéke.
A termesztőberendezésen ezért alsó és felső szellőzőfelület kialakítása (a fenti két csoportból, egyet-egyet párban választva) szükséges. A fent ismertetett szellőzőfelület kialakítások révén megvalósuló légcsere nagyságát a geometriai paramétereken kívül (pl. annak nagysága a termesztőberendezés burkolatához képest) a geometriai forma, légcserekor a burkolaton be- ill. kiáramló légkeresztmetszet középpontjai közötti szintkülönbség határozza meg. Például csak az oldalfalon elhelyezett adott értékű szellőzőfelület kialakításakor nem mindegy, hogy a nyílás magassága mekkora, mivel ezen érték fele a be-, ill. kiáramló levegő keresztmetszeteinek középpontjai közötti szintkülönbség. Ez is alátámasztja, hogy célszerű párban, azaz alsó és felső (lehetőleg egyező nagyságú) szellőzőfelületeket kialakítani, mivel ezzel lehet a szintkülönbség () értékét a termesztőberendezés átlag belmagasságának értékéhez közelíteni, sőt attól nagyobbá alakítani. Természetesen az egylégterű termesztőházak alapterületének növelésével egyre inkább nem biztosítható az alsó, ill. felső szellőzőfelületek nagyságának egyezősége. Ez különösen a tömbösített termesztőberendezésekben szellőztetésekor kialakuló helyi hőmérséklet értékek közötti jelentős, akár 3-5 °C-os eltéréseket is eredményezhet.
A beáramló levegő részére szellőzők az oldalakon nyithatók kedvezőbben mivel az orom felületeken (pl. ajtók miatt) elhelyezhető szellőzőfelületek eredő középpontja általában magasabban helyezkedik el. Míg a felső szellőzőfelület kialakítások közül a legkedvezőbb a kéményszellőző, de ennek jelentős lehet a beruházási többletköltségén kívül az árnyékoló hatása. Ez szintén nem elhanyagolható bevételkiesést eredményezhet főleg a fényszegény téli hónapokban. Ezért nem is nagyon találkozunk hazánkban ilyen kialakítással.
Végezetül a kialakításokkal kapcsolatban megjegyzendő hogy a nyitható szellőzőfelületeknek a burkolathoz viszonyított méretét statikai, szilárdsági tulajdonságok, valamint költségkihatásai korlátozzák. Ezek figyelembevételével a gyakorlatban a teljes burkolat maximum 30 %-át elérő szellőzőfelület (légáramlási keresztmetszet) nyitható.
A fejezet elején lévő mérlegegyenlet jobb oldalának második tagjaként szereplő a légcserével távozó hőáram két részre bontható. A levegő száraz alkotóinak (oxigén, nitrogén, nemesgázok stb.) cp-vel arányos belső energiaváltozására, valamint az abszolút nedvesség tartalom növeléséhez szükséges hőáramra. Az utóbbi értéke azonban a légáram növekedésével, azzal arányosan egyre inkább nem növekszik. Részben azért mert nincs elegendő párolgó felület és legfőképpen idő ahhoz, hogy a Vház·ρlev.·(xi-xe) mennyiségű víz elpárologjon. Ennek egyik indoka, hogy nem áll rendelkezésre a párolgáshoz elegendő mennyiségű víz, kivéve hacsak nem öntözünk folyamatosan, amelyhez –szélső esetben– alapterület négyzetméterére vonatkoztatottan 0,6-0,8 liter vízre lenne szükség óránként! Ezért ha természetes szellőztetéssel már 10-nél nagyobb légcsereszámot valósítunk meg célszerű azzal a közelítéssel élni, hogy (xi-xe)=0. Ezen a számítás biztonságát növelő egyszerűsítéssel a szellőztetéskor aktuális légcsereszám összefüggését a mérlegegyenletbe beírva, majd rendezve kapjuk:

A fenti harmadfokú egyenlet alapján (melynek csak 1 valós gyöke lehet) belátható hogy a (főleg nyári) napsugárzás melegítő hatásának csökkentése miatt szükségessé váló szellőztetéskor a belső levegő hőmérséklete csak közelítheti (felülről, értékkel) a külső levegő hőmérsékletét. Ez az eltérés csak végtelen nagy légcsere esetén válna nullává, ami nem valósítható meg. Amennyiben a külső levegő hőmérséklete alacsonyabb a kívánt belső hőmérséklet értékénél (legalább Δt-nyivel) szellőztetéssel, azaz a megfelelő légcserével a belső hőmérséklet értéke a kívánt értéken tartható. Az ilyenkor szükséges légcsere a szellőzőfelület nagyságának állításával érhető el a belső léghőmérséklet legkisebb mértékű –időbeni– ingadozásával. Ezért terjedtek el, ill. találkozunk gyakrabban a zárt valamint teljesen nyitott állapot közötti folyamatos szellőzőfelület nagyság szabályozását lehetővé tevő kialakításokkal. Abban az esetben viszont, ha a külső levegő hőmérséklete közelíti, sőt nagyobb a szükséges belső (ti) léghőmérséklet értékénél akkor a légcsere fokozása is csak a külső léghőmérséklethez képesti hőmérséklet növekedés mértékét tudjuk csökkenteni. A fent tárgyalt ún. természetes szellőztetéskor a gyakorlatban megvalósított legkedvezőbb szellőzőfelület kialakításokat, valamint felület nagyságokat alapul véve a légcsereszám maximális értéke nem lehet nagyobb 40-nél. E légcsereszámmal számolva a nyári legnagyobb napsugárzási intenzitáskor bizony gyakran előfordulhat, hogy a belső hőmérséklet akár 12 °C-kal magasabb a külső átlagos léghőmérséklet értékénél.
Kényszer szellőztetés
Amennyiben nyáron is folyamatosan kívánjuk a termesztőberendezést üzemeltetni akkor (a fentiek szerinti túlhőmérséklet csökkentése végett célszerű) kényszellőztetést kialakítani.
A kényszerszellőztetéskor a termesztőberendezés oldal- vagy oromfelületén helyezik el a levegőáramot létrehozó légszállítót, általában axiálventilátort. Axiálventilátor (12.19. ábra) alkalmazásakor célszerű a vápamagasság értékét akár közelítő átmérőjű lapátoskerék választása, mivel ekkor lehet a legkisebb fordulatszámmal a kívánt térfogatáramot létrehozni. A fordulatszám minimalizálását részben a fordulatszámtól –annak majd negyedik hatványával arányosan– függő zajszint, részben az üzemeltetés hatására kialakuló rezonancia jelenségek, és annak erőhatásai, azaz szilárdsági szempontok indokolják. A vápa magasság minimum háromszoros értékű osztástávolságra elhelyezett –egyező– ventilátorokkal szemben lévő orom- vagy oldalfelület, jelentős része nyitható. A ventilátorok járókerekének forgásiránya alapján vagy szívott (amikor a termesztőtérből kifelé történik a légszállítás) vagy túlnyomású, azaz nyomott lesz (kintről befelé irányul a ventilátorok légszállítása) a termesztőtér a külsőhöz képest. Elméletileg mindkét üzemmód ugyanolyan hőmérséklet eloszlású teret hoz létre. Tekintettel arra hogy a szívott termesztőtérnél az áramló levegő entalpia növekedése kisebb, így az energia igénye alacsonyabb, ezért gyakrabban alkalmazzák.
12.19. ábra Kényszerszellőztetés axiálventilátora
Ebben az esetben a nyitott felületen át a belépő levegő –miközben a talaj felszínével párhuzamosan áramlik a ventilátorok felé– hőmérséklete értékkel növekszik, majd a ventilátorok síkjában elhagyja a termesztőberendezést. A természetes szellőztetéskor, ugyanekkora légcserénél ugyanez a -nyi változás a függőleges sík mentén alakul ki. A termesztett kultúra egyedeinek időben azonos fejlődése ellen hat a vízszintes menti változó hőmérséklet elosztás, ezért ennek csökkentése szükséges. A csökkentés a légáram (légcsereszám) növelésével érhető el. A légáram viszont a termesztőberendezésben az alábbi átlag légsebességet eredményezi:
![]()
ahol:
n – a működő –azonos típusú– ventilátorok száma
V - egy ventilátor légszállítása [m3·s-1]Ű
h - a légáram keresztmetszetének magassági értéke, amennyiben a ventilátorok az oromfalon vannak, akkor ez a vápa, ha az oromfelületen, akkor az átlag belmagasság (gerinc + vápa magasság számtani közepe) értékével egyező [m]
L – azon felület (orom vagy oldal) hossza, amelyen a ventilátorok vannak elhelyezve [m]
Megfigyelések alapján a növények 0,5 m/s –folyamatos (!)– légsebességig különösebben nem reagálnak viszont ettől intenzívebb légáramban egyre inkább lassabban fejlődnek, sőt egyes kultúrák (pl. az uborka) már 1 m/s (tartós) légsebességben elpusztul, míg ugyanez a többi (hazai termesztett kultúráknál) „csak” 1,5 m/s légsebességnél következik be. Ezért a gyakorlatban 0,5 m/s légsebesség tartós kialakulásáig növelhető a légáram (légcsereszám) kényszerszellőztetéskor.
A légsebesség áramlásának határértéke, valamint ennek a meghatározására felírt összefüggés alapján a termesztőberendezés oldal, orom hosszúságának, valamint vápa- és gerincmagasságának értékeit ismerve már el lehet dönteni, hogy az oldal-, avagy az oromfelületre helyezve a ventillátorokat, ill. a nyílászárokat tudunk-e nagyobb légcsereszámot (továbbá kisebb vízszintes menti léghőmérséklet gradienst) megvalósítani. Nagyjából egyező oldal, orom hosszúságú termesztőháznál ez az orom felületen lévő ventillátorokkal, és a másik oromfelületen lévő fokozatmentesen nyitható nyílászárókkal érhető el.
A kényszerszellőztetés során kialakuló, a termesztés szempontjából kedvezőtlen hőmérséklet eloszlás mértékét nem mindig lehet (komoly anyagi kihatások nélkül) csökkenteni. A polietilén borítású fóliasátraknál a szélességétől lényegesen hosszabb ívelt oldalfelületen több ventilátor elhelyezése lényegesen többe kerülne, mint egy -nagyobb légszállítású- ventilátornak az oromfelület (hogy a be, ill. kijárást ne akadályozza) felső részébe történő helyezése. Ezért nem is lehet az ilyen fóliasátrakban megfelelő (pl. az üvegházakban észlelhető) hőmérséklet eloszlást fenntartani.
Kényszerszellőztetéskor (a növények által tartósan elviselhető –határ– légsebesség értéke miatt) a hazai termesztőberendezések geometriai adatait figyelembe véve a légcsereszám megengedhető maximális értéke egyiknél sem nagyobb, mint 70. A ventilátorok üzemeltetésével kapcsolatban pedig feltétlenül számolni kell a légmozgatás (villamos) energia igényével, amelynek nagysága a légáram (termesztőberendezésből eltávolított) belsőenergia növekményének legalább 5 %-a.
Adiabatikus hűtés
A természetes szellőztetés fejezet végén felírt harmadfokú egyenletnek a felírását az tette lehetővé, hogy az (xi-xe)=0 gyakorlat szempontjából nem jelentős hibát eredményező egyszerűsítést elfogadtuk. Pedig az (xi-xe)-vel arányos, a levegő abszolút nedvességtartalmának a növeléséhez szükséges energia igény igen jelentős nagyságú lehet. Ezért törekedtek olyan műszaki megoldást találni, amelynek révén lehetőség van hektáronként és óránként akár 10 köbméter víznek az elpárologtatására, míg a maximum 0,5 m/s sebességgel áramló levegő nem lép ki a termesztőberendezésből. Ezért a kényszerszelőztetésnél már ismertetett szerkezeti kialakításnál a levegő teremesztőtérbe történő belépési helyénél ún. hűtőfalat (12.20. ábra) helyeztek el. A hűtőfal szerepe, hogy a rajta átáramló légáramba lehetőleg minél kisebb átmérőjű mettől több vízcsepp kerüljön. Ezt azáltal érik el, hogy a kétoldalt pl. drótszitával határolt nedvesítő falat jelentős nagyságú határoló felülettel rendelkező porózus anyaggal régebben faforgáccsal, ma inkább pl. máztalan porcelán darabokkal, vagy térfelületre préselt vulkánfíber lapokkal töltik ki (12.21. ábra). A határoló felület résein belépő, majd felgyorsuló levegő folyamatosan iránytörésre kényszerülve a töltelék felületén fentről folyamatosan csörgedező folyadékfilmből cseppeket-szakit ki, ill. visz magával.
12.20. ábra Hűtőfal
A levegőáram nagyságát részben a (termesztő teret szívó) ventillátorok teljesítménye, részben a hűtőfalon lévő –szabad– keresztmetszet nagysága, ill. annak légellenállása határozza meg. Mivel a termesztőtérből elvonandó hőáram értéke változik, ezért a légáram változtatását az alábbi módszerekkel lehet elérni:
Ez utóbbi (gyakran követett megoldásnál) a hűtőfal külső felületéhez egy zsalu illeszkedik. A zsalu elemek (ezek lehetnek akár fényáteresztő anyagból –pl. üvegből– is) szögállásának szabályozása révén (12.22. ábra), a levegő áramlási keresztmetszetének változtatásával lehet viszonylag könnyen a légáram értékét (a légcsereszámot) fokozatmentesen változtatni. A zsaluelemek állásának szabályozása a ventillátorokat hajtó motorok energiafogyasztására nincs hatással! A levegőáramba csak annyi vizet célszerű csepphalmaz formájában a hűtőfal segítségével (a hűtőfalon lefelé csörgedeztetett vízáram nagyságának beállításával) juttatni amennyi elpárolog a (szívó) ventillátorokig való haladás során. Az erre való figyelést az indokolja, hogy a maximális napsugárzás alkalmával majd 1 liter (alapterület) négyzetméterenkénti víz igény is szükséges lehet óránként, így a víz díja sem elhanyagolható már az ilyen légtérhűtési rendszer üzemeltetésekor. Ezért a töltőanyag felületén lecsörgedeztetett vizet, a hűtőfal alján elhelyezett vályúba felfogják, és szűrést követően újból visszavezetik a felső elosztó vezeték segítségével a töltő anyag felületére.
12.21. ábra Hűtőfal töltet
12.22. ábra Üvegzsaluval határolt hűtőfal
A fent leírt módon a légáramba kerülő víz elpárolgásához szükséges hőenergia a levegő belső energiáját (közvetlenül a levegő hőmérsékletét) csökkenti. Tekintettel arra, hogy a légáram és a (külső) környezet között (jó közelítéssel) nincs hőcsere így a levegő állapotváltozása adiabatikus, ezért az így megvalósított levegő hőmérsékletcsökkentési eljárást adiabatikus hűtésnek nevezzük.
Az adiabatikus hűtéssel a (természetes esetleg kényszer) szellőztetéskor kialakuló –a külső hőmérséklethez képesti– belső túlhőmérséklet maximum 7-8 °C-al csökkenthető a hazai nyári 25-30 %-os relatív külső páratartalomnál, miközben a termesztőtérből távozó levegő nedvességtartalma telitetté válik. Ez legkönnyebben a levegő i – x diagramja segítségével követhető, ill. számszerűsíthető adott légcsereszámnál. Ahol az 1 kg-nyi száraz levegő –alábbi összefüggés szerinti– belső energianövekedése (Δi) révén távolítható el a termesztőtérbe kerülő sugárzásos energiaáram:

Végezetül érdemes a valós hűtés lehetőségének áttekintése, megvizsgálása. Léteznek (abszorpciós, ill. kompresszoros) körfolyamat révén hőenergia elvonást eredményező műszaki berendezések, ún. hűtőgépek, de ezek üzemeltetési költsége oly magas, hogy egyáltalán nem teszi lehetővé használatukkal a gazdaságos termesztést. Ezért csak kísérleti céllal pl. fitotronoknál találkozunk alkalmazásukkal. Ebben az esetben is fennáll, a használatukkor felmerülő jelentős üzemeltetési költségnövekedés, de azzal hogy szinte teljesen a külső klímajellemzőktől függetlenül tudjuk a kísérleti tér klíma értékeit biztosítani, időt nyerhetünk. Ez pedig világunkban szintén pénzt jelent, sokszor nem is keveset !
A természetes fényforrásunkból, a Napból a talajfelszínre érkező napsugárzás (a sugárzás spektrális eloszlása alapján) 50 %-a (λiv) infravörös, 48 %-a (λlát) látható tartományba eső és a fennmaradó, majd 2 %-a az ultraibolya hullámhossz tartományába eső (λui) elektromágneses hullámokból áll. Természetesen ezen értékek földrajzi helyfüggőek, mert pl. ahogy emelkedünk a tengerszinthez képest az ultraibolya sugárzás hányada növekszik. Adott helyen az aktuális értéket a környezet is befolyásolhatja, hiszen havas környezetben, vagy vízfelszín közelében az ultraibolya sugárzás erősebb, mint hó, ill. vízfelszín nélküli esetekben. A termesztőberendezésben a megvilágítás aktuális értékét (Ev) viszont a napsugárzás látható tartományába (380-760 nm) eső elektromágneses hullámok intenzitása határozza meg:
![]()
ahol:
δ - a megvilágított vízszintes felület normálisa és e felület bármely pontjából a Nap felé mutató egyenes által bezárt szög
A növények fejlődését, a megvilágítás erőssége valamint annak időbeni alakulása is nagymértékben befolyásolja. A legtöbb növény esetében 1,5-2 klx tartományba esik az a megvilágítási (fénykompenzációs pont) érték, amikor a növény termelés helyett inkább „fogyasztani” kezdi a szén-dioxidot fotoszintézise révén. A fejlődés szempontjából kedvező, optimális megvilágítási értékük alapján a növényeket fénykedvelők (5-8 klx) valamint árnyékkedvelők (3-5 klx) csoportjába soroljuk.
Figyelembe véve hogy hazánkban –nyáron teljesen tiszta égbolt esetén– akár 600 watt négyzetméterenkénti sugárzásintenzitás is előfordulhat, a fenti összefüggéssel könnyen meghatározható a termesztőberendezésben az aktuális –egyben maximális– megvilágítás értéke. A közel 140 klx érték az árnyékolás szükségességét indokolja. Ilyen erős megvilágítás a legtöbb termesztett növényi kultúra számára káros. A növény az őt érő sugárzás jelentős részét elnyeli, és az elnyelt (abszorbeált) energiaáram egy része (maximum 1,5 %-a !) a növény kémiai folyamatainak (fotoszintézis) fenntartásához szükséges (amely kötési energia formájában „raktározódik” el). Az elnyelt sugárzás másik –igen jelentős– része pedig olyan mértékben melegíti fel a növényi állomány (átlag)hőmérsékletét, hogy az ennek következtében a környezete felé (konvekcióval és párologtatással) leadódó hőáram megegyezzen az abszorbeálttal. A napsugárázás intenzitásával közel arányosan kell a növénynek párologtatnia, hogy a környezethez képesti túlhőmérséklete ne egyenes arányban növekedjék. Ez az egyre intenzívebb párologtatás, ill. átlagos hőmérséklet növekedés a fotoszintézis leállásához, sőt a már kötési formában beépített energia felszabadítását is eredményezve a termesztés számára nem kedvező folyamatok beindulását jelenti. Ezért kell, szükséges a megvilágítás értékét a nyári hónapokban csökkenteni, amely árnyékolással érhető el. A termesztőberendezés léghőmérsékletének nyári alakulásával kapcsolatosan tárgyalt (Árnyékolás) fejezet szerint az árnyékolóknak a burkolóanyaghoz képesti elhelyezése alapján lehet:
valamint a kettő közötti ún. közbülső megoldásként a:
burkolat satírozása, azaz a burkolat (értékű) fényáteresztő képességének rontását, csökkentését eredményező megoldások.
Alkalmazásukkor a megvilágítás nagysága:
![]()
alapján határozható meg. A külső, és a belső árnyékoló hatásának mértékét számszerűsítő a fejezet elején külső árnyékolóra már definiált szerint értendő, mivel nincs jelentősége, hogy a burkolathoz képest hol helyezkedik el a fényáramot csökkentő berendezés. Az a sötétet jelenti, amely különbözik a műszaki értelemben vett sötét definíciójától (). A sötétnek is van termesztéstechnikai jelentősége, mivel a megfelelő fotoperiodicitással (a nap 24 órájából mennyi esik a sötét időszakába) lehet a növény fejlődését befolyásolni, pl. virágzásra késztetni. Ezért készülnek fekete színű polietilén fóliából a sötétítő ernyők (12.23. ábra), alagutak a termesztőberendezésekbe. Fel kell hívni a figyelmet arra, hogy a sötétítő ernyő nem tévesztendő össze a fűtésre felhasznált energia értékének csökkentésére használatos energiaernyővel! Az energia „fogyasztás” csökkentése szempontjából a sűrű szövésű anyagból készült ernyő rendelkezik a legjobb tulajdonságokkal, de a kedvező szálsűrűségű anyag fényáteresztő képessége lényegesen nagyobb, mint ami sötétítéshez még megengedhető. Viszont a sötétítő ernyő részleges zárásával (12.24. ábra) az alatta mérhető megvilágítás értéke a kívánt értékre állítható be. Így belső árnyékolóként használható.
12.23. ábra Sötétítő ernyő
12.24. ábra Sötétítő ernyővel történő megvilágítási érték beállítás
Végezetül a növény számára sötétnek tekinthető mindazon esetek, amikor nem tud fotoszintetizálni. Ezért a növény színével egyező hullámhosszúságú elektromágneses hullámokat, melyeket azért láttunk, mert azt jórészt visszaveri, vagy átengedi, a növény számára ugyancsak sötétet eredményeznek, mivel ekkor nincs sugárzási energia elnyelés, ami kell a fotoszintézishez. Ezt támasztja alá a 12.25. ábra is, amely egy adott –zöld színű– nővénynél a spektrális érzékenységet szemlélteti.
12.25. ábra Zöld színű növény spektrális érzékenysége
Ezért nem árt tudni adott megvilágítási értéknél, hogy az a növény színével egyező elektromágneses hullámok intenzitását is tartalmazza, avagy nem. Ez megfelelő színszűrővel a méréskor kirekeszthető, hiszen a növény színével egyező fólia alatt bármekkora a megvilágítás erőssége, a növény csak csekély mértékben fog fejlődni. Ezért is használnak ma már a gyakorlatban leginkább zöld árnyékoló (pl. raschel) hálót (12.26. ábra), fóliát.
12.26. ábra Külső raschel hálós kialakítás
A termesztett kultúra nyugalmi időszakainak (másnéven fotoperiodicitásának) szabályozhatósága azt is szükségessé teheti, hogy a megvilágítás időtartamát, erősségét az adott napon aktuális természetes megvilágítás erősségéhez, időtartamához képest növelni is lehessen. Ilyen igény hazánkban leginkább a téli hónapokban merülhet fel, és ez csak mesterséges fényforrások üzemeltetésével lehetséges. A szükséges mesterséges fényforrások fajlagos (négyzetméterenkénti) teljesítményének meghatározásához szükséges a kultúra megvilágítási igényének ismerete. A fenti csoportosítás, ill. megvilágítás igény ismerete alapján a szükséges mesterséges megvilágítás teljesítménye a fényforrások fényhasznosítási értéke alapján már tervezhető. A fényhasznosítás megadja, hogy a fényforrás a felvett energia hányad részét alakítja át látható (380÷760 nm) hosszúságú elektromágneses hullámmá. Ennek számszerűsítése valamint a lehetőségek megismerése miatt célszerű a jelenleg ismert, ill. a termesztési gyakorlatban használatos fényforrások működését, valamint fényáramaik jellemzőit áttekinteni.
Edison izzó
Vákuumban, vagy semleges gázban elhelyezett magas olvadáspontú fémek (jórészt wolfram) ötvözetéből készített (R értékű) ellenálláshuzal (U) feszültségre kapcsolva Ohm törvénye szerint (I = U/R) áramerősség kialakulását eredményezi. Ezen áramerősség hatására (I2·R értékű) villamos teljesítmény alakul át hő, leginkább sugárzásos energiaárammá. A felszabaduló hőenergia hatására a fémszál (oxigénmentes térben) izzásig hevül. E hőmérsékleten aktuális sugárzás spektrális eloszlási görbéjének azonban csekély rész esik a látható tartományba, míg a jelentősebb része az infravörös tartományt fedi le. Az arány javítható az izzási hőmérséklet növelésével. Ezt valósítják meg a halogén izzók, de ennek a fém, ill. az ötvözet olvadáspontja szab határt, így sajnos a fényhasznosítás mértéke 3-5 %-nál nem nagyobb értékű. Ezen igen alacsony érték miatt, tekintettel a villamos energia árára szóba sem jöhetnek az izzók a termesztőberendezésekben termesztett kultúra számára mesterséges fényforrásként.
Kisnyomású gázkisülő lámpá k
Az 1 kPa-nál kisebb nyomású higany (Hg) vagy nátrium (Na) gőzzel kevert nemesgázzal töltött cső két végén lévő elektród között jön létre elektromos kisülés. Az elektronáramot az elektromos erőtér hatására vezetővé váló (plazma állapotú) gáztér biztosítja. Eközben az elektronok a Hg vagy Na atomokat gerjesztik, majd azok relaxációja során a Hg ultraibolya (UV) és kék érzetet keltő, az Na sárga színérzetet kiváltó elektromágneses hullámokat bocsát ki. A kialakuló áram korlátozásához ún. fojtótekercs, a begyújtáshoz (gáztöltetnek vezetővé válásához) nagyfeszültségű impulzus szükséges. Ezt az impulzust a gyújtó állítja elő. Ezért e fényforrások jellegzetessége, hogy a kibocsátott fény spektrális eloszlása nem folytonos görbe, hanem „csak” vonalakból álló. Hétköznapi életünkben ma már két kialakítása használatos:
a./ fénycsövek: az egyenes csőben (hosszúsága szabványosított) alacsony nyomású Hg gázalkotó (a hálózati feszültség és frekvencia miatt a csőben alternáló mozgású elektronok általi) gerjesztődését követően kibocsátott UV sugárzás a cső belső felületén lévő fénypor réteggel kerül kapcsolatba. A fénypor összetételéről tájékoztat a fénycső adatai között szereplő F betű utáni szám. Ez lehet 1, 2 avagy 3 karakterű, annak függvényében hogy hány markáns vonal található az UV sugárzás hatására kibocsájtódó fényáram spektrális eloszlásában. A fényhasznosítás mértéke: 10-12 %. Mivel e fényforrás beépítési tér igényének vízszintes vetülete jelentős részt árnyékolhat nappal (akár 20 %-ot), termesztőberendezésekben ritkán használják, inkább csak kísérletek során (12.27. ábra), vagy fitotronokban.
12.27. ábra Fénycső világítású termesztőtér
b./ kompakt fénycsövek: az egyenes cső helyett, U formára hajlított egy, vagy több csőből álló fényforrás. A cső, ill. csövek belső felületén itt is fénypor van, melynek összetételéről szintén az F betűjelzés utáni szám informál. A fénykibocsátás módja egyező a fénycsőével, csak az elektron áram alternálásának frekvenciája 50 Hz helyett 20 – 30 kHz tartományba eső. Fényhasznosításuk viszont akár 16-18 %. A hálózati frekvenciát (mettől kisebb veszteséggel) átalakító ún. nagyfrekvenciás előtét költsége viszont jelentősen drágítja e fényforrást. Ezért termesztéshez fényforrásként általában nem használják. A működése alapján téves a néha előforduló „energiatakarékos izzó” elnevezése.
Nagy nyomású gázkisülő lámpák
Működési módjuk hasonló a kisnyomású kisülő lámpákhoz, a –fém– gőznyomás azonban összemérhető a környezeti légnyomással. Szükség van külső áramkorlátozó –áramköri– elem alkalmazására, fémhalogén és nátriumlámpa esetén külső gyújtókészülékre is. Termesztőberendezésekben használatos típusok:
a./ higanygőz lámpa: dupla üvegburkolattal ellátott mesterséges fényforrás. A belső, magas üzemi hőmérséklet miatt kvarcüvegből készült zárt burában, majd légkőri nyomású Hg gőzben gerjesztődő Hg atomok kibocsátotta 220 nm körüli hullámhosszúságú UV sugárzását alakítja át látható tartományba eső elektromágneses hullámokká (fénnyé) a külső búra belső felületén lévő fénypor. Ennek megfelelő összetételével mind a fényhasznosítást 14-16 %-ra növelik, mind a lámpa színvisszaadását javítják. Az így kapott (sápadt fehér színnel jellemezhető) fényáram azért jórész hideg érzetet keltő, ez pedig a növényekben végbemenő fehérjeszintézisre, a vitaminok, a karotinok képződésére, a fermentumok és a növekedési anyagok működéséhez szükséges (12.28. ábra). A lámpában lévő higany teljes elpárolgásához, gőzzé alakulásához néhány percre van szükség, a lámpa csak ez után világít teljes fényerősséggel. A kikapcsolt lámpa viszont csak akkor gyújtható be újra, ha lehűlt, azaz a Hg gőz kondenzálódott.
12.28. ábra Hg-lámpa a termesztőtérben
b./ nátriumgőz lámpa: a belső burában Na-gőz és kevés Hg valamint Xe van. Közel légköri nyomásnál a Na rezonancia vonalak igen jelentősen, 550 - 700 nm tartományra szélesednek ki. A Hg és Xe gáztöltetben való gerjesztésével színkorrekció érhető el, így e fényáram alkalmassá válik mérsékelt színigényű belsőterek megvilágítására. Míg a növénytermesztésben való alkalmazáskor a levélfelület nagyságának, a szártagoknak, általánosságban a szárazanyag tartalomnak a gyarapodását segíti elő inkább. Szinte az e tartományba eső elektromágneses sugárzásnál a legintenzívebb a fotoszintézis, ezért igen elterjedten alkalmazzák a zöldségtermesztésnél (12.29. ábra). Fényhasznosítása a higanygőz lámpáéval közel egyező értékű. A nagy nyomás és hőmérséklet, valamint a nátriumgőz agresszív tulajdonsága miatt a belső-, kisülő- csövet általában kerámiából készítik.
12.29. ábra Na-lámpa a termesztőtérben
Az "Angol és magyar nyelvű, digitális tananyagok fejlesztése a BCE kertészettudományi kar kertészmérnök és multiple degree hallgatói számára" pályázat a TÁMOP-4.1.2.A/1-11/1-2011-0028 pályázati projektek támogatásával készült.