Szerző: Hegybíró Miklós

Az öntözőrendszer feladata az öntözővíz kiemelése, szállítása, elosztása, és kijuttatása. A nyugalmi állapotban lévő víz megfelelő (áramlási) sebességre gyorsítása (hc: sebesség magasság) a geodéziai szintkülönbség (hg: geodéziai magasság), csősúrlódásból adódó ellenállás (h v: veszteség magasság) leküzdése és megfelelő üzemi nyomás (hp: nyomó magasság) biztosítása.
Az öntözővíznek megfelelő hidraulikai paraméterekkel kell rendelkeznie a fentiek megvalósításához, melyeket a következő fejezetben néhány fontosabb áramlástani ismerettel együttesen részletezünk.
Térfogatáram: adott keresztmetszeten, egységnyi idő alatt átáramlott térfogat
Nyomás : egységnyi felületre eső nyomóerő, jele p [N/m2]
Csőhálózatban a folyadék áramlását a nyomáskülönbség hozza létre.
statikus nyomás:
jele: pst, ebben az esetben a térfogatáram értéke 0, azaz nincsen áramlás
dinamikus nyomás:
jele: pdin, áramlás van, egy adott térfogatáramhoz tartozó nyomásértéket jelent
SI mértékegysége: Pa = N/m2 a számításoknál az utóbbit használjuk.
egyéb, használatos mértékegységei: bar (105 Pa), (gyakorlatban többnyire ezt használjuk)
vízoszlop nyomása, más néven emelő magasság (h) számítása: h=p/gρ
g: nehézségi gyorsulás [m/s2]
ρ: sűrűség [kg/m3]
10 m vízoszlop nyomása: p=h*g*ρ= 10 m * 10 m/s2 *1000 kg/m3 = 105 N/m2 = 105 Pa = 1 bar
szivattyút jelleggörbe alapján választunk ki, melyen az emelőmagasság változását követhetjük a térfogatáram függvényében.
Hidraulikus teljesítmény: Ph=q*h*g*ρ[W]
szivattyú hatásfoka: η=Ph/Pm
Pm: hajtó motor teljesítménye [W]
Bernoulli törvénye
Zárt csőhálózatban ideális körülmények közt (súrlódásmentes áramlás, külső energia hozzáadása, vagy elvonása nélkül) áramló folyadék helyzeti, mozgási és nyomási energiájának összege bármely keresztmetszetben állandó. Ez Bernoulli energia-megmaradás tétele áramló közegre.

4.1. ábra Az energiaösszeg alakulása csőhálózat adott szakaszain
Nézzük a csőhálózat egy szakaszát (4.1. ábra):
Eö=Eh+Em+Ep=ÁLLANDÓ
Eö : összenergia
Eh : helyzeti energia [J]
![]()
Em: mozgási energia: [J]
![]()
Ep: nyomási energia:[J]
![]()
Írjuk fel az 1-s és 2 –s keresztmetszetekre az energiaegyenletet:
![]()
Látjuk, hogy az 1-s keresztmetszethez képest a 2-s keresztmetszetben nő a folyadék helyzeti energiája és nyomási energiája a mozgási energia rovására. Általánosságban írhatjuk:
![]()
az egyenletet egységnyi súlyerővel osztva (m*g)
![]()
h = geodéziai magasság [m]
hc=v2/2gsebesség magasság [m]
hp=p/gρnyomó magasság [m]
A Bernoulli egyenletet a szivattyú összemelő magasságának meghatározására használjuk. Nem ideális környezet esetén az összefüggésbe a súrlódásból keletkező veszteség magasság értékét is be kell vonni (hv).
![]()
hc értéke elhanyagolhatóan kicsi.

λ : csősúrlódási tényező
le : egyenértékű csőhossz [m] : az összefüggés egyenes csőszakaszra vonatkozik, a 25% -al növelt értéke magában foglalja a kötőidomok, szerelvények áramlási veszteségét is.
d : csőátmérő [m]
q : térfogatáram [m3/s]
A fenti összefüggésből számolt érték a szivattyú adott (qsz) térfogatáramához tartozó összemelő magasságot adja, így meghatározhatjuk a szivattyú munkapontját.
M[hö ; qsz]
Az öntözőrendszer általános felépítése (4.2. ábra)

4.2. ábra Öntözőrendszer felépítése
Feladata az öntözővíz biztosítása.
Hálózati vízforrás :
Természetes vízforrások :
Szabad vízfelszín : tó, tározó, csatorna, folyó, patak stb.
Felszín alatti : talajvíz, rétegvíz:
Néhány ezekkel kapcsolatos fogalom:
- Nyugalmi vízszint: ásott, vagy fúrt kutakban kialakuló vízszint, mikor vízkivétel nincs.
- Üzemi vízszint: ásott, vagy fúrt kutakban kialakuló vízszint, vízkivétel esetén.
Csapadék víz : legjobb minőségű öntözővíz. Beruházás igénye nagy: tározó, szivattyúgépészet építése szükséges. Felmerül a kérdés, mennyi idő alatt térül meg a beruházás. Az öntözővíz 6 – 7 %-át tudjuk vele biztosítani, mondhatjuk, hogy nem rentábilis.
Csurgalékvíz, technológiai víz : olyan víz, mely valamely technológia melléktermékeként keletkezik, például uszodatechnikában a csatornahálózatba vezetett uszodavíz, esetleg más technológiából származó hűtővíz, stb.
Természetes (kivéve esővíz) és technológiai vízforrás használata esetén az öntözővizet minden esetben be kell vizsgáltatni!
Vízkivétel mű (4.3. ábra)

4.3. ábra Vízkivételi mű
Részei:
Alapvetően két fajta szivattyút használunk: önfelszívó – és merülő -, más néven búvárszivattyút. Használatukat a kút üzemi vízszint mélysége határozza meg.
Milyen mélyről tudja az önfelszívó szivattyú a vizet elméletileg kiemelni?
A szivattyú elméletileg 10m, a valóságban 5 – 6 m mélyről képes.
Ha az üzemi vízszint a szívócsonk alatt 6 m-nél nagyobb mélységben helyezkedik el, akkor az önfelszívó és a búvárszivattyú közül bármelyiket használhatjuk, ha ennél mélyebben van, akkor csak a búvárszivattyút.
Önfelszívó szivattyú: (4.4. ábra)

4.4. ábra Önfelszívó szivattyú gépészeti kialakítása
Az üzemi vízszint felett elhelyezett szivattyú szívócsővel emeli ki a vizet, melynek vége szűrővel ellátott lábszeleppel (rugós visszacsapó szelep) van szerelve. A lábszelep feladata a víz szívócsőben tartása szivattyú leállása után. A szivattyú a nyomócsonkján csatlakozik az öntözőrendszerhez.
Búvárszivattyú: (4.3. ábra)
Üzemi vízszint alá elhelyezett szivattyú, mely a nyomócsonkján csatlakozik az öntözőrendszerhez. Üzemeltetése egyszerűbb, hiszen nincs szükség szívócsőre.
Vízkivételi mű szerelvényei:
Lábszelep: rugóterhelésű visszacsapó szelep, megakadályozza, hogy a szivattyú „leejtse” a vizet a szívócsőben. Szűrőzése fontos, mert egyébként a szennyeződéstől a szeleptányér fennakadna és visszaejtené a vizet.
Záró szerelvények:
Csap
Szelep
Tolózár
Hidrofor tartály : rendszer nagyságától, szivattyú emelőmagasságától függően 10 - 16 bar - os kivitelben. A rendszer rugalmasságát biztosítja, ha csak kis vízelvétel van, a szivattyúnak nem kell bekapcsolnia, az üzemi nyomást a hidrofor tartály biztosítja.
Nyomásmérő óra (manométer)
Elektromos szerelvények ( indító relé, motorvédelem, szárazon futás elleni védelem, nyomás kapcsoló, frekvencia váltó, áramlás kapcsoló, szintszabályozás, stb.)
Szivattyú – öntözőhálózat üzeme:
A szivattyú indítása több féle módon történhet:
A két jelleggörbét egy diagramban ábrázolva láthatjuk, hogy egy pontban metszik egymást. Az a pont ahol, a szivattyú a csőhálózattal együtt dolgozik, a szivattyú munkapontja (M). (4.5. ábra)

4.5. ábra Csőhálózat – szivattyú közös üzemének jelleggörbéje
Szivattyúk üzemi paraméterei
A jelleggörbe mutatja az üzemi paraméterek alakulását. A térfogatáram függvényében ábrázoljuk az emelőmagasságot és a szivattyú hatásfokát.

4.6. ábraSzivattyú jellegőrbe jellemző pontjai
Jellemző pontok (4.6. ábra):
Üzemi jellemzők:
Ha a vízigény meghaladja a szivattyú térfogatáramát, vagy az emelőmagasság igény a szivattyú összemelő magasságát, több szivattyú összekapcsolására, együttes üzemeltetésükre van szükség. Szivattyúk együttes üzemének alapszabálya, hogy mindig csak azonos szivattyút kapcsolhatunk össze.
Ha az emelőmagasság növelése a cél, akkor a két szivattyút sorba kapcsoljuk. (4.7. ábra)

4.7. ábra Szivattyúk sorba kapcsolása
Ha a térfogatáram növelése a cél, akkor a két szivattyút párhuzamosan kapcsoljuk. (4.8. ábra)

4.8. ábra Szivattyúk párhuzamos kapcsolása
Amennyiben a szivattyútengely fordulatszámát változtatni tudjuk, úgy a különböző hidraulikai paraméterek a következőképp változnak:
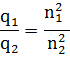
A térfogatáram egyenesen arányos a fordulatszám változásával:
![]()
Az emelőmagasság négyzetesen arányos a fordulatszám változásával:

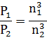
A hidraulikus teljesítmény köbösen arányos a fordulatszám változásával:

Az öntözővíz elosztása és szállítása a vízadagoló berendezésekhez.
Gerincvezeték:
A vízkivételi műtől szállítja a vizet az osztóig. Az osztók az öntözendő terület súlypontjában helyezkednek el, itt csatlakoznak a szárnyvezetékek a gerincvezetékhez.
Szárnyvezeték
A gerincvezetéktől szállítja a vizet a vízadagoló berendezésekhez. Esőszerű öntözésnél a szórófejek adott osztással csatlakoznak a szárnyvezetékre. Kialakítását tekintve lehet stabil, vagy mobil.
Stabil megoldás esetén az álló helyzetben működő, körforgó szórófejek által megvalósított esőztetés, ahol a vízborítást a szórófejek üzemelési ideje határozza meg.
Elhelyezését tekintve lehet felszínen szerelt, vagy beépített.
A mobil megoldás a járvaüzemelő technikára épül.
Elhelyezését tekintve felszínen szerelt. A járvaüzemelő berendezések teljes mértékben gépesített áttelepítésű berendezések, amelyek szórófej, konzol vagy más vízadagoló elem folyamatos mozgása közben juttatják az öntözővizet a talajra, illetve a növényekre. A vízborítást a szórófej vagy a konzol mozgási sebessége határozza meg.
Csévélhető öntöző: a leggyakrabban alkalmazott járvaüzemelő berendezés.
A csévélhető KPE tömlős szárnyvezetékek fő eleme a 250–450 m hosszú, alaktartó, kemény polietilén tömlő. Ez a tömlő szabja meg a szárnyvezetékkel beöntözhető sáv hosszát és részben a szélességét is. A tömlő működés közben dobra csévélődik fel, üzembe állítás előtt a tömlőt traktorral húzzák ki az öntözendő sáv végére.
A 4.9. ábrán láthatók a főbb szerkezeti részek. Kerékkel (1) és állítható lábbal (2) alátámasztott alvázon (3) csapágyazzák a dobot (4). A berendezés vízcsatlakozó tömlője (5) egy megcsapoláson keresztül egy hidromotort (6) hajt meg, amely elvégzi a dob forgatását. A motor és a hajtómű közé tengelykapcsolót, fokozatváltót és külső TLT (7) hajtási lehetőséget is kialakítanak. A járvaüzemelő szórófej (10) a KPE tömlő külső végére szerelt keretes (8) állványon (9) helyezkedik el. Ez az állvány behúzott állapotban, ún. szállítási helyzetben van.

4.9. ábra Csévélhető öntöző szárnyvezeték(dr. Lelkes János nyomán)
A berendezéseken számos automatikus elem található. Ezek közül a legfontosabb a szórófej-végkikapcsoló, amely a sáv teljes beöntözése után elzárja a víz útját. Fontos a vízborítás behúzás irányú egyenletessége miatt a sebességállandósító automatika, valamint a sávok elején és végén megvalósítandó előöntözést és utóöntözést szabályozó automatika.
A nagy hatósugarú szórófej kedvezőtlen munkaminőségi és energetika jellemzőinek kiküszöbölésére fejlődtek ki az ún. járvaüzemelő konzolok. A 4.19. ábrán látható szerkezet egy kerekes (1) vonórudas vázra (2, 4) szerelt csőrendszer (6), amelyet sodronykötelek (7) tartanak. A konzol a csévélhető öntöző szárnyvezeték szórófejkocsija helyére szerelhető. A víz a KPE tömlőből a felszállócsövön (3, 5) át kerül a konzolszárnyakat alkotó csövekbe. Ezeken helyezik el a porlasztó (8) szórófejeket vagy más típusú vízadagoló elemeket. A konzol használata a csévélhető öntözőgép területkapacitását általában csökkenti és az áttelepítéssel járó munkaszükségletet növeli, azt körülményesebbé teszi.

4.10. ábra Járvaüzemelő konzol csévélhető öntözőgépre (dr. Lelkes János nyomán)
Járvaüzemelő szórófejeknél a vízborítás:
h = qv /(B⋅v⋅1000) [mm]
ahol:
qv – a berendezés (szórófej vagy konzol) vízhozama [m3/h],
B – a munkaszélesség [m],
v – a járvaüzemelés sebessége [m/h].
A többtámaszú öntöző szárnyvezetékek:
Frontálisan haladó berendezések: Lineár.
A lineáris öntözőberendezés lényege, hogy a szárnyvezeték nem a talajon, hanem több méter magasságban van. A csövet kerekeken futó tartószerkezet hordozza. A szárnyvezeték öntözés közben egyenes vonalban (lineár) áll, és a csőre merőleges irányban frontálisan mozog a táblán. Az előrehaladást a tartószerkezetet alátámasztó hajtott kerekek biztosítják. (4.11. ábra)

4.11. ábra Lineár öntözőberendezés
A szárnyvezetékek hossza egyoldali betáplálásnál 250-400 m A szórófejek lehetnek a cső tetején, vagy lefelé lógó csőre erősítve, hogy a talajhoz közelebb legyenek. A vízellátás hidránsról, vagy a mozgás irányával párhuzamos csatornából történik. Utóbbi esetben szivattyú is van a berendezésen. (4.12. ábra)

4.12. ábra Lineár öntözőberendezés vízellátása
A 90-220 kW teljesítményű dízelmotorok biztosítják a szivattyú és az áramfejlesztő hajtását. A csővezetéknek a haladási irányban tartására a felszín felett a hidránssorral párhuzamosan kifeszített sodronykötél, vagy indukciós kábel, vagy vezetőbarázda szolgál. Egy másik szabályozás arról gondoskodik, hogy az egyes alátámasztások (kapuk) között a megengedettnél ne legyen nagyobb a szögeltérés.
Az árbocokon helyezték el az egyes tagok mozgatását végző villanymotort és hajtóművet. A berendezés teljesen automatizált, kezelőszemélyzetet nem, csupán időszakos ellenőrzést igényel.
A szárnyvezeték a következő táblára traktorral csőirányban átvontatható.
A lineáris esőztető berendezés előnye, hogy azonos nyomon jár, így minimális a taposási kár. A csapadékeloszlás hossz- és keresztirányban egyaránt igen egyenletes, és a kiöntözhető vízadag jól igazítható a növény vízigényéhez. Kicsi a nyomásigénye, alacsony az élőmunka-felhasználása. Hátránya főleg a jelentős beruházási költségből adódik.
Körbenjáró , más néven center-pivot berendezések. (4.13. ábra)
A csővezeték egyik vége, a vízkivételi mű (hidráns, vagy kút), mint forgási középpont körül, körpályán mozog a többi, sugárirányban elhelyezkedő tag. A külső tag egy beállított kerületi sebességgel mozog, a közbenső tagoknál a központi toronytól való távolságuknak megfelelő kerületi átlagsebességet állít be az automatika, és így teljesül az egyenesben maradás követelménye. A központi torony mint rögzített pont leegyszerűsíti a víztáplálást, hiszen vagy felszín alatti hálózatra, vagy külön szivattyúval kútra vagy más felszíni vízforrásra a csatlakozás műszakilag könnyen megoldható.

4.13. ábra Center-pivot öntözőberendezés
Szempontok : Fenntartási, művelési, használati, esztétikai, beruházás igény, üzemeltetés élőmunkaerő igénye.
Felszínen szerelt: a gerincvezeték és szárnyvezetékek egyaránt a talaj felszínén helyezkedik el.
Vegyes építésű : a gerincvezeték a fagyhatár alá van telepítve. A felszínen elhelyezett szárnyvezetékek az adott kultúra igényeinek megfelelő osztásban kiépített hidránsok közbeiktatásával csatlakoznak a gerincvezetékhez.
Beépített : a gerincvezeték és a szárnyvezetékek egyaránt a talaj felszíne alá kerülnek. Automata öntözőrendszerek készülnek ezzel a módszerrel, sportpályák, közterületek, díszkertek öntözésére, ahol fontos szempont:
Csövek, csőkötő idomok, szerelvények.
Csövek
A méretek :
Fém csöveknél coll –ban, a leggyakrabban használt KPE (nagysűrűségű polietilén) csöveknél külső átmérőben adják meg a cső átmérőjét. A 4.1. táblázatban láthatjuk a külső átmérőhöz tartozó coll és belső átmérő értékeket.

4.1. táblázat Cső jellemzők
Jellemzők :
Anyag, kötőidom, nyomásfokozat, kiszerelés, telepítés helye (felszín alá, felszínre, zárt helységbe, aknába),
Fém csövek:
Műanyag csövek:
P6, P10 nyomásfokozat, a csekély árkülönbség miatt ajánlható a P10 használata, mert sokkal nagyobb szilárdsági követelményeknek is ellenáll. Kiszerelése 100 – 200 m-s tekercsben, mely könnyebben szerelhető, kívánt hosszra vágva, hosszabb csőszakasz telepítése során nem kíván toldó idomok beszerelését. UV stabil, de talajfelszín alá szerelendő, -20 C fokig nem fagy el, 50 éves garancia. Megnevezése pl. D32 KPEP10 : 32 mm külső átmérő (1"); nagysűrűségű, 10 bar üzemi nyomású polietilén cső.
Csőkötő idomok:
Követelmény: tömör (szivárgás, csöpögés mentes) és nyomásálló legyen.
Gyorskapcsolók : Egy mozdulattal zárhatók és oldhatók.

4.14. ábra Perrot gyorskapcsoló
Menetes idomok : coll menet.
Tömörség, tömítő anyag:
KPE gyorskötő idomok (4.15. ábra)
Tokos kötés, roppantó gyűrűvel KPE cső csatlakoztatásához könyök idom, T idom, toldó idom, stb.
Tokos - menetes kötés: KPE cső és menetes szerelvény (mágnesszelep) kötésére.
Nyomásfokozat: P10, P16.

4.15. ábra KPE gyorskötő idom

4.16. ábra KPE gyorskötő idom szerelése
1a: kúpos záróanya
1b: hasított kúpos persely farkasfogakkal
1c: távtartó hüvely
2: O tömítő gyűrű
3: kötőidom test.
Működése (4.16. ábra)
A tömörséget az O gyűr biztosítja, melyet a távtartó hüvely tart a helyén, biztosítva, hogy a cső behelyezésekor ne gyűrődjön be. A kúpos hasított perselyt a cső a nyomás hatására kifelé nyomja, de a farkasfogak belemélyednek a cső külső felületébe és biztosítják a nyomásállóságot. Az elmozdulás irányába a persely külső kúpos felületét a záróanya belső kúpos felülete rászorítja a csőre.
Szerelvények:
- Csap: szakaszolás kisebb cső átmérőnél.
- Szelep: térfogatáram változtatás.
- Tolózár: szakaszolás nagyobb cső átmérőnél.
Olyan öntözési mód, amelynél az öntözővíz a talaj felszínén mozogva jut el a talaj termőrétegébe. Nagy a párolgási veszteség, hazánkban nem elterjedt öntözési mód.
Az öntözővíz az esőhöz hasonlóan jut a talajra, ill. a növényre. A vizet az elosztóhálózat szállítja a szórófejhez, mely beszórja az adott területet. A szórófejek jellemzői az üzemi nyomás, a térfogatáram, a szórási sugár és a keresztirányú szórásegyenletesség. A szórófejeket kötésben kell telepíteni, mely lehet négyszög, vagy háromszög kötés. A kötés geometriája eltérő, annak függvényében, hogy szántóföldi kultúrát vagy gyepet öntözünk.
Szántóföldön (4.17. ábra) arra törekszünk, hogy ne maradjon öntözetlen terület, és az átfedés minimális legyen.
A fedés értéke ilyenkor:


4.17. ábra Szórófejek négyszögkötése szántóföldön
M: szárnyvezetékek távolsága [m]
T: szórófejek osztástávolsága [m]
Asz: szórófejek által lefedett terület [m2]
Aö: beöntözött négyzet területe [m2]
Gyepnél (4.18. ábra) az igényesebb öntözés miatt a szórófejek keresztirányú szórásegyenetlenségét, a szél torzító hatását csak megfelelő átfedéssel tudjuk biztosítani.


4.18. ábra Szórófejek négyszögkötése gyepöntözésnél
M = R: szárnyvezetékek távolsága [m]
T = R: szórófejek osztástávolsága [m]
Asz: szórófejek által lefedett terület [m2]
Aö: beöntözött négyzet területe [m2]
Vízgazdálkodási szempontból lényeges hogy az esőszerűen kiszórt vízből mennyi jut a talajba és mennyi párolog el szórás közben. Ez nagy melegben történő öntözés esetén a 30 – 40 % -t is elérheti. Jelentősen csökkenthető, ha automata öntözőrendszert használunk, melyet a hajnali órákban üzemeltetve elkerüljük a párolgási veszteséget.
Kialakításukat, működésüket tekintve lehetnek:
Álló szórófejek:
A szórófej üzem közben nem végez semmilyen mozgást, a megfelelő méretű fúvókán adott sebességgel kilépő folyadéksugár felületnek ütközve folyadékhártyát képez, mely az ütközési ponttól távolodva vékonyodik, s a felületi feszültség a hártyát cseppekre bontja.
Lengő szórófejek:
Nevét a szóróív lengő mozgásáról kapta. A szóróív furatokkal van ellátva, melyeken keresztül az öntözővíz legyezőszerűen jut ki a felületre. Négyszög alakú területet öntöz be, melynek geometriai méretei a lengőhajtómű beállításával változtatható. Négyszög esőztetőnek is hívják. Használatosak mezőgazdasági- és gyepöntözésben egyaránt.
Forgó szórófejek:
A szórófej forgó mozgást végez öntözés közben. A forgó mozgás létrehozását tekintve megkülönböztethetünk:
Lengő hajtóműves szórófejek: (4.19. ábra)

4.19. ábra Lengő hajtóműves szórófej
Turbinahajtású szórófejek (4.20. ábra)
A vízsugár belépve a szórófejbe turbinát hajt, mely többszörös fogaskerék áttétel után forgatja a szórófejet. Speciálisan kialakított fúvókán keresztül „vízfüggöny” alakban lép ki a szórófejből. A kilépési szög, a nyomás és a térfogatáram együttesen határozza meg a szórási sugarat. A megfelelő szórásképet (porlasztás, cseppméret és vízfüggöny) a helyesen megválasztott üzemi nyomás és fúvóka kialakítás biztosítja. Nagyobb üzemi nyomás túlporlasztást eredményez, a kisebb cseppméret miatt nagyobb az elsodródási és párolgási veszteség. Kisebb üzemi nyomás a cseppméret növekedését, a hatótávolság csökkenését és a szóráskép romlását vonja maga után.

4.20. ábra Turbinahajtású szórófej
A szórófej 36o - 360o tartományban fokozatmentesen állítható szektorban is tud szórni. A szórófej a tartomány végén egy áramláskapcsolóval a turbinába lépő vízsugár irányát, egyúttal a forgásirányt változtatja meg.
A mikroöntözéshez tartozó öntözési megoldások közös jellemzője, hogy a vízadagoló elemek kis nyomáson (≤ 2,5 bar), időegység alatt kevés (≤ 500 l/h) öntözővizet juttatnak ki az öntözendő növényeknek. Mikroöntözésnél a víz kis adagokban, akár naponta többször is kijuttatható. Célzottan öntözünk, nem öntözzük a teljes talajfelszínt. A legelterjedtebb megoldásai a csepegtető és a mikro-esőztető öntözés.
Csepegtető öntözés
Zárt csővezetékben vezetjük a vizet a felhasználás helyéig, ahol vagy a csőbe beépített csepegtetőtesteken keresztül (labirint), vagy a csőre rászerelt kapilláris csöveken keresztül jut a talajra. A rendszer lehetővé teszi, hogy kis veszteséggel akár 95% hasznosulást érjünk el. A csepegtető elemek a víz energiáját emésztik fel, mire a folyadék a fúvókához ér nyomása légkörire csökken.
A 4.21. ábrán látható csepegtető elemben a víz egy „labirintuson” keresztül áthaladva folyamatos iránytörésen és ütközésen veszíti el energiáját. Az átáramlási keresztmetszet megfelelő nagyságú, ezért eltömődésre nem hajlamos. 1,5 – 2,5 bar nyomástartományban közel azonos vízmennyiséget bocsát ki.

4.21. ábra Labirint testes csepegtető cső
Nemrég jelent meg a D6 típusú ún. spagetti csepegtető cső. A kis csőátmérő miatt jól használható sziklakertek, balkonládák, dézsás növények öntözésére. Nyomáscsökkentő beépítése szükséges! A csepegtető szalag (4.22. ábra) mezőgazdasági felhasználásra, sekélyen gyökeresedő gyümölcskultúrák (pl. szamóca, málna), zöldségnövények (pl. fejes saláta, káposztafélék, zeller), öntözésére alkalmas.

4.22. ábra Csepegtető szalag
A csepegtető öntözésnél szűrőt kell beépíteni, 100-200 mesh (0,254 – 0.127 mm lyukméret) finomságú szűrőbetéttel.
Előnyök :
Hátrányok :
Mikroesőztető öntözés:
Ez esetben a zárt vezetékből az öntözővíz kisintenzitású, jó porlasztású szórófejeken keresztül jut az öntözendő talajra. Leggyakrabban ütközőlapos, rotoros (forgórészes) és sugár mikroszórófejek használatosak. Bármely változatuknál körkörös és szektoros szórásképű megoldás lehetséges. Alkalmazásukkal kiküszöbölhetők a csepegtető öntözés problémai, nevezetesen az eltömődés és a magas relatív páratartalom hiánya. További előnyként jelentkezik a szélesebb gyökerezési zóna, valamint a növényzet napközbeni hűtési lehetősége.
Felszín alatti öntözés (4.23. ábra)

4.23. ábra Nyomáskompenzált, szivárgásmentes, vákuumzáras csepegtető cső.
A korszerű technológiáknak (beépített gyökérsorompó és vákuumzár) köszönhetően talajfelszín alá fektethető, de rézsűk öntözésére is kiválóan használható, hiszen üzem után is megtartja magában a vizet, így nem keletkeznek tócsák a rézsű aljában.
A csepegtető cső földalatti elhelyezésének több előnye is van a felszíni telepítéssel szemben:
- Az öntözővíz adagolása során nincs párolgási veszteség, a talajfelszín teljesen szárazon tartható.
- Az evaporáció (talaj kipárologása) hiánya miatt a felszínen nem koncentrálódnak a vízben oldott sók.
A 4.24. ábra a víz útját mutatja a talajban 10 órával az 1 órás öntözési ciklus után felszín alatt illetve felszínen elhelyezett csepegtető cső esetén:

4.24. ábra Víz útja föld alá és a felszínre telepített csepegtető öntözésnél
- Szántóföldön a csöveket nem kell tavasszal letelepíteni, majd ősszel összegyűjteni.
- A csepegtető csövek nem akadályozzák a felszínen folyó munkákat, például a mechanikai gyomirtást.
- A csövek nincsenek kitéve a napsugárzás UV sugarainak, valamint a hőmérséklet-változásokból adódó elöregedési, lebomlási folyamatoknak, így élettartamuk hosszabb lehet.
- A felszín alá telepíthető csepegtetőcső megakadályozza a gyökérbenövés okozta eltömődéseket a csepegtetőtesteknél. Ez az új és szabadalmaztatott eljárás környezetkárosítás nélkül működik, szemben a gyökérmérget tartalmazó más felszín alatti csepegtetőcsövekkel.
Szántóföldi növénytermesztésben (kukorica, zöldség, stb.), szőlő és gyümölcstermelésben, szabadföldi, vagy fóliás kertészeti termesztésben, díszkertek, sportpályák, parkok, közterületek zöldfelületénél használt öntözőberendezések méretezésének és kiválasztásának menete nagyrészt megegyezik, az eltérés a nagyságrendekben (vízigény, nyomásigény), a kialakításban (felszínen telepített, vagy beépített), a kijuttatás módjában (esőztető, vagy csepegtető esetleg mikroszóró) és az automatizálás fokában lehet.
A továbbiakban egy díszkert gyepfelületének és egy hozzá tartozó faiskola öntözőrendszerének méretezését és a szükséges öntözőberendezés kiválasztását ismerjük meg egy konkrét példán keresztül.
Öntözőrendszer tervezés - méretezés, kiválasztás – építés lépése: Felmérés – adatgyűjtés, tervezés, anyagkiírás, anyagbeszerzés, telepítés.
Terület:
Új kert esetén a kertterv szolgál alapul, ha meglévő kert van, de nincs róla kertterv, készíteni kell. A kertrajz felvétele során a terület felmérésével együtt a rajzon pontosan
Az új kerttervet a helyszínen egyeztetni kell a valóságos helyzettel. A méréseken kívül ajánlott a fényképek készítése is, hiszen a tervezés közben sokszor segítséget nyújt.
Vízforrás:
Meg kell vizsgálni, milyen vízforrások állnak rendelkezésünkre. A vízforrás helyét rögzíteni kell a terven.
Hálózati vízforrás:
A mérés menete a következő: (4.25. ábra)

4.25. ábra Hálózati vízforrás hidraulikai jellemzőinek meghatározása

4.26. ábra Hálózati vízforrás jelleggörbe felvétele
Az egyre emelkedő vízdíjak miatt érdemes megvizsgálni, milyen lehetőség van természetes vízforrás létesítésére és a beruházás mennyi idő alatt térül meg. Tájékoztatásul 1 m3 víz kiemelésének energiaköltsége kb. tizede a hálózati víz árának.
Természetes vízforrás:
Kútról: a kútfúró köteles teljes dokumentációt biztosítani a kút átadásakor, mely többek közt tartalmazza a kút vízhozamát. Az öntözőrendszert erre az értékre méretezzük. Ne feledkezzünk meg arról, hogy minden esetben be kell vizsgáltatni a vízminőséget.
Automatika elhelyezése: (automata öntözőrendszer esetén)
Szempontok: 220 V tápfeszültség, 24 V jelfeszültség, csapó eső elleni védettség, a terület súlypontjában legyen, ahonnan belátható az öntözendő terület nagy része.
Esőérzékelő tapasztalatok szerint nagyobb üzembiztonsággal üzemeltethető. Elhelyezése:

4.27. ábraAutomata öntözőrendszer felépítése, kertrajz
A felmérés alapján méretarányosan, milliméterpapírra felrajzoljuk a kertet az összes műtárggyal együtt. Számítógéppel is végezhetjük a munkát, a dokumentálás könnyebb.
Gyep: esőztető szórófejek
Nagyobb. összefüggő felületek
Rotoros szórófejek R = 6 – 12 m,
Kisebb, szabdaltabb felületek:
Sprayszórófejek R = 2,4 – 5,2 m,
Faiskola:
Csepegtető öntözés.
D20 LPE csőbe integrált csepegtető elemek
Osztás távolság: 20, 33, 50, 75, 100 cm ill. külön legyártatni.
Csepegtető elem vízkibocsátása: 4l/h.
pü= 1,5 – 4 bar
D16 LPE csőbe integrált csepegtető elemek
Osztás távolság: 20, 33, 50, 75, 100 cm ill. külön legyártatni.
Csepegtető elem vízkibocsátása: 2l/h.
pü= 1,5 – 4 bar
D6 LPE csőbe integrált csepegtető
Osztás távolság: 15 cm
Csepegtető elem vízkibocsátása: 2l/h.
pü= 0,5-1,4 bar
Sövény, talajtakaró, örökzöldek:
csepegtető öntözés.
Sziklakert:
Mikroszóró, párásító szórófej.
Meghatározó helyet tölt be öntözőrendszernél. Jellemzői:

4.28. ábra Rotoros szórófejek szórási (R) tartománya
Szóráskép megszerkesztése
Figyelembe veendő szempontok:
- Rotoros szórófejek: R = 6 – 12 m
- Spray szórófejek: R = 2,4; 3; 3,6; 4,5; 5,2 m .
A szórásképet körzőzéssel vesszük fel, mindig a terület geometriájának megfelelő sugárral és szektorral (pl 180o, 270 o , 90 o stb.). A szórási sugár (4.28.ábra) dönti el, hogy milyen típusú rotoros, vagy spray szórófejet használunk.
Zónakiosztás:
Adottságok :
Figyelembe veendő szempontok:
4.2. táblázat 5000 szórófej fúvókák jellemző adatai

Zónaépítés menete :
A faiskolát legegyszerűbben csepegtető csővel öntözzük, melyek osztása 20, 33, 50, 100, 150 és 170 cm –es lehet. Nagyobb tétel rendelésénél az osztás távolságát mi is meghatározhatjuk. Leggyakrabban a D20 –as csepegtető csövet használják, a csepegtető elemek vízkibocsátása 4 l/h.
Örökzöldek öntözésénél használatos a D16-as csepegtető cső, itt a csepegtető elemek 2 litert bocsátanak ki egy óra alatt.
Balkonládák, dézsák sziklakertek esetében használatos a D6-as un. spagetti – csepegtető cső. Osztása 15 cm, vízkibocsátása elemenként 2 l/h. Nyomáscsökkentő használata szükséges.
A jobb követhetőség érdekében a tervezést egy konkrét példán keresztül folytatjuk.
Faiskola és gyepes terület öntözését kell megtervezni fúrt kútról (4.29. ábra). A faiskola öntözését adott osztású és vízkibocsátású csepegtetőcsővel, a gyepfelület öntözését a táblázatban található vízkibocsátású és hatósugarú fúvókával rendelkező esőztető szórófejekkel kell megoldani. Adott hozamú, s üzemi vízszintű fúrt kútból búvárszivattyú emeli ki az öntözővizet. A feladat a szivattyú szükséges paramétereinek és az öntözőrendszer üzemi paramétereinek meghatározásával zárul.

4.29. ábra Kert zöldfelület alaprajz
Adatok :
| Kút távolsága a terület szélétől | A | 50 m |
| Gyepes terület szélessége | B | 16 m |
| Gyepes terület hosszúsága | C | 24 m |
| Faiskola hossza | D | 30 m |
| Sortávolság | E | 1 m |
| Tőtávolság | S | 0,5 m |
| Fák vízigénye | M | 3 l/fa/nap |
| Csepegtető elem vízkibocsájtása | qcse | 2 l/h |
| Csepegtető cső osztása | G | 0,2 m |
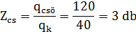
| Kút vízhozama | qk | 40 l/min |
| Kút üzemi vízszintje | hsz | 7 m |
| Csősúrlódási tényező | λ | 0,02 |
| Egyenértékű csőhossz ahol l : aktuális csőhossz (m) |
le | 1,25 * l |
| Intenzitás | 4 mm |
Figyelembe veendő szempontok:
Meghatározandók:
Gyepfelület öntözése :
a. Szórófej típusának meghatározása :
A terület nagysága miatt rotoros szórófejeket kell alkalmazni. Mindkét oldal osztható 8 –al, ezért a szórássugár 8 m.
A katalógusból (4.28. ábra) az 5000 típusú rotoros szórófej felel meg a kritériumnak: 3,5 bar üzemi nyomáson a szórási sugár 7 – 11 m között változtatható.
Kikörzőzzük a területet 8 m sugarú körrel, illetve körcikkel a szórófejtől szórófejig öntözés jegyében. (4.30. ábra)

4.30. ábra Szóráskép terv
A szórásképek ismeretében válasszuk ki az egyes szórófejekhez tartozó fúvókákat, térfogatáramukat, össztérfogatáramot és a szórófejek által lefedett felületet (4.3.táblázat):
4.3. táblázat Fúvóka kiválasztás szóráskép alapján, lefedett terület:

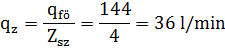
b. Esőztető zónák száma :
A 4.3. táblázatból a következőket olvashatjuk ki:
Nsz = 12 db
qfö = 144 l/min
qf : fúvóka térfogatáram [l/min]
qfö : összes fúvóka térfogatáram [l/min]
c. Esőztető zónák száma:
![]()
d. Zónák térfogatárama:

e. Zónák felépítése: (4.31.ábra)

Zónakiosztási terv
A zónakiosztási terv (4.26 ábra) alapján foglaljuk táblázatba az egyes zónák szórófejeinek paramétereit (szóráskép, fúvóka, térfogatáram) valamint az egyes zónák térfogatáramát (4.4. táblázat):
4.4. táblázat Szórófejek zónánkénti fúvókázás, jellemző adatok

f. Mágnesszelep csoport helyének meghatározása
Az öntözendő terület „súlypontja” a faiskola és gyep találkozási pontjánál a felső telekhatárnál található. Négy mágnes szelepet tartalmaz az I. – IV. zónáig (4.31. ábra).
g. Csőkeresztmetszet meghatározása:
![]()
qi : az adott csőszakaszon a térfogatáram [m3 /s].
Ai : az adott csőszakasz keresztmetszete [m2].
D25 csőátmérő - ¾” = 0,0254 * ¾ = 0,019 m
D32 csőátmérő - 1” = 0,0254 m

Számítsuk ki, milyen térfogatáram értéknél kell csőátmérőt váltanunk (vmax = 1,7 m/s):
D25 átmérőjű csőnél (későbbiekben jelöljük d –el):
![]()
![]()
D32 átmérőjű csőnél (későbbiekben jelöljük D –el):
![]()
![]()
Számítsuk ki az egyes zónák csőszakaszainak térfogatáramát és az előző kritériumok alapján válasszuk az adott szakaszok átmérőjét.
Zónák csőszakaszain átáramló víz mennyisége, csőátmérők

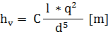
h. Összemelőmagasság kiszámítása:
A számítások alapján már ki tudjuk választani a csőátmérőket, készen van a zónaépítési terv, következik az össz-emelőmagasság (hö) meghatározása:
![]()
hg = hsz = 7 m
hp = 35 m
hv : számítandó


Az egyenletben az állandókat célszerű összevonni, megkönnyíti a további számításokat:
Állandó :
![]()
![]()
Ügyeljünk a mértékegysége SI -ben való helyes alkalmazására!
Térfogatáram : 1 l/min = 1/60000 m3 /s
A legrosszabb helyzetben lévő szórófej, melyre a méretezést végezzük a 4 jelű szórófej az I. zónán.
![]()





h v = 5,6975 m
hö = 7m + 5,7m + 35m
h ö = 47,7 m
a szivattyú munkapontja:
M ( 47,7 m; 36 l/min)
Faiskola öntözése:
A fákat 20 cm osztású csepegtető csővel öntözzük, a csepegtető elemek vízkibocsátása 2 l/h. a fasorok mellé 1 sort fektetünk, tehát a csepegtető csövek hossza megegyezik a sorok hosszával.
a. Mágnesszelep csoport helyének meghatározása
Az öntözendő terület „súlypontja” faiskola és gyep határánál, található. három mágnes szelepet tartalmaz az V. – VII. zónáig. (4.32. ábra)
b. Csepegtető cső hosszúsága:
![]()
c. Csepegtető cső térfogatárama:
![]()
d. Csepegtető zónák száma:
![]()
e. Csepegtető zónák térfogatárama:
![]()
Mivel a csepegtető öntözés üzemi nyomásigénye alacsonyabb, mint az esőztető szórófejeké, már 1,5 bar is megfelelő, ezért a kiválasztandó szivattyú munkapontjára az esőztető szóróknál számított értékek a mérvadók.
Esőztető szórófejek
Szórófejek fedése:
Gyepes felület nagysága:
![]()
![]()
Fedés értéke:

Gyepfelület napi vízszükséglete:
![]()
Esőztető szórófejek üzemideje:
Zónák átlagos térfogatárama: qz = 36 l/min
Esőztető zónák üzemideje :
Teljes üzemidő:

1 zóna üzemideje:

Korrigált teljes üzemidő:
![]()
Csepegtető öntözés:
Faiskola napi vízszükséglet (Vfi):
Összes fa:
![]()
Vízszükséglet:
![]()
Csepegtető öntözés üzemideje :
Zónák átlagos térfogatárama: qcs = 40 l/min
Csepegtető zónák üzemideje:
Teljes üzemidő:
![]()
1 zóna üzemideje:
![]()
Üzemi paraméterek összesítve:
![]()
Napi öntözővíz-szükséglet:
Az öntözés teljes üzemideje:
![]()
Az "Angol és magyar nyelvű, digitális tananyagok fejlesztése a BCE kertészettudományi kar kertészmérnök és multiple degree hallgatói számára" pályázat a TÁMOP-4.1.2.A/1-11/1-2011-0028 pályázati projektek támogatásával készült.